所屬科目:物理化學(包括化工熱力學)
(一)請推導在定溫定壓下,宇宙亂度變化 S(universe) G / T 。
(二)請利用熱力學第二定律寫出一不等式,說明在一孤立系統(isolatedsystem)熱由高溫往低溫的傳輸是自發性的。
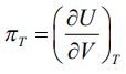
二、請推導出可量測氣體內壓(internal pressure, )的熱力學方程式,並藉由此方程式求出凡德瓦氣體( )的內壓值。
(一)一個輻射光子波長為 λ 可從一半導體光電板中激發出一個電子,此電子動能為 。請列式表達能從此半導體光電板中產生電子之光子的最大波長為多少?(不須算出數值,普朗克常數:h;光速:c)
(二)電子顯微鏡即是藉由高電壓加速電子,使電子產生波長極短的電子束,請估計從靜止透過 X 伏特的電位差加速後的電子波長。(請列式表達即可,電子質量: ;電子帶電量:e;普朗克常數:h)
(一)請推導出此反應方程式的速率定律式。
(二)請計算反應速率常數值。
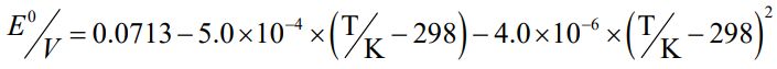
五、有一電池 其標準電位( E 0 )與絕對溫度(T)的關係如下:
此電池的反應為請計算出此反應在 298 K 的 和平衡常數 K。(氣體常數 R = ,法拉第常數 F = 96485 C/mol )
六、如圖示在 1 atm 下硝基苯(nitrobenzene)/己烷(hexane)系統的相圖。今在 290 K 下製備了 50 g 己烷(0.59 莫耳)和 50 g 硝基苯(0.41 莫耳)的混合物。請利用此相圖說明在 290 K 下此混合物各相的成分是什麼?以何種比例出現?此混合物形成單一相( P = 1)的最低溫度是多少 K?