所屬科目:船用電機與自動控制(概要)
1. 當原動機運轉方向不變,則發電機並聯時下列何者可以不考慮?(A) 電壓(B) 頻率(C) 相序(D) 相位
2. 在電晶體放大電路中,輸入端與輸出端均接有一耦合電容器(Coupling capacitor),其功能為何? (A) 限制直流訊號之進入 (B) 限制交流訊號之進入 (C) 產生電壓放大效應 (D) 產生功率放大效應
3. 稽納二極體通常工作於?(A) 順向偏壓(B) 零偏壓(C) 逆向低電壓(D) 逆向崩潰電壓
4. 柴油機氣缸冷卻水溫度控制系統中,何者是被控制量?(A) 冷卻水流量(B) 冷卻水溫(C) 冷卻水壓(D) 柴油流量
5. 一般船舶所進行的保養,大多數為下列哪一種保養?(A) 修正性保養(B) 預防性保養(C) 依情況保養(D) 不定時保養
6. NPN雙極性接面電晶體(BJT)在作用區時,偏壓情況為何?(A) BE 接面是逆向偏壓,而CB接面是順向偏壓(B) BE 與CB 接面都是順向偏壓(C) BE 與CB 接面都是逆向偏壓(D) BE 接面是順向偏壓,而CB接面是逆向偏壓
7. 實驗室中的直流電源供應器,係用來將交流電源轉換為直流電源,在經變壓器後,其轉換過程通常依序為何? (A) 整流→穩壓→濾波 (B) 濾波→穩壓→整流 (C) 整流→濾波→穩壓 (D) 濾波→整流→穩壓
8. 下列哪一個不包括在緊急電源系統內?(A) 緊急發電機(B) 緊急配電盤(C) 蓄電池組(D) 同步設備
9. 若互斥-OR閘之輸入值為A及B,輸出值為Z,則下列敘述何者正確?(A) 若A=0,B=1,則Z=0(B) 若A=0,B=0,則Z=0(C) 若A=1,B=0,則Z=0(D) 若A=1,B=1,則Z=1
10. 如圖所示之電橋電路,設 R1=100Ω,R2=300Ω ,R3=200Ω ,當電橋平衡時,則 Rx=? (A) 100 Ω (B) 200 Ω (C) 300 Ω (D) 600 Ω
11. 一具感應電動機在某一負載下其同步轉速為1800 RPM,當其轉差率(S)為0.1(10%)時,其實際轉速N為何? (A) 180 RPM (B) 900 RPM (C) 1620 RPM (D) 1800 RPM
12. 均勻截面積的導線,其電阻值的大小與導線的關係為何?(A) 長度及截面積成正比(B) 長度成正比,截面積成反比(C) 長度成反比,截面積成正比(D) 長度及截面積成反比
13. 如圖所示,試求流經6Ω的電流為多少?(A) 1A(B) 2A(C) 3A(D) 4A
14. 將直流轉換為交流的電路為下列何者?(A) 整流器(B) 放大器(C) 變流器(D) 變壓器
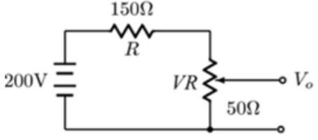
15. 如圖已知可變電阻VR=0~250Ω ,求VO之電壓為何?(A) 20 V(B) 25 V(C) 50 V(D) 100 V
16. 有關SCR截斷陽極與陰極之間導通電流的敘述,下列何者正確?(A) 在閘極上加一正電壓(B) 將閘極與陰極短路(C) 加一逆向閘極對陰極電壓(D) 使通過陽極之電流降至維持電流(I Holding)以下
17. 紅外線火焰偵測器之使用元件硫化鎘(CdS),有何特性?(A) 照度越大時,電阻越大(B) 照度越大時,電阻越小(C) 照度與電阻的平方成反比(D) 照度與電阻的平方成正比
18. 何種電動機最適合使用於固定速度的場合?(A) 交流同步電動機(B) 交流感應電動機(C) 無刷電動機(D) 直流串激式電動機
19. 旋轉電樞式交流發電機的敘述,下列何者錯誤?(A) 轉子為電樞繞組(B) 磁場裝置於定子(C) 容易達成其機械平衡(D) 適用於低壓中小型發電機
20. 下列何者會造成鼠籠式交流感應電動機之轉速上升?(A) 增加轉子外加電阻(B) 減少定子極數(C) 增加電源相位(D) 增加轉子電抗
21. 若三個電阻分別為R1=2Ω ,R2=4Ω 以及R3=8Ω,則三個電阻並聯後,其電導為多少?(A) 0.875西門子(Siemens)(B) 1.17西門子(Siemens)(C) 1.6西門子(Siemens)(D) 2.1西門子(Siemens)
22. 如圖所示,若I=0,則R為多少歐姆?
(A) 6 歐姆(B) 3 歐姆(C) 2 歐姆(D) 9 歐姆
23. 控制系統中A/D(類比/數位)轉換器的輸出電流範圍為下列何者?(A) 0~1mA(B) 1~5mA(C) 4~20mA(D) 20~40mA
24. 當二部同步發電機並聯時,同步器指針逆時鐘旋轉表示什麼意義?(A) 待並聯的電機頻率低於匯流排(B) 待並聯的電機頻率高於匯流排(C) 待並聯的電機相位落後匯流排(D) 待並聯的電機相位超前匯流排
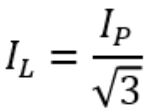
25. 三相Y接法的電路,若相電流之有效值為IP ,則線電流之有效值IL為:(A)IL=IP(B)(C)(D)
26. 直流電機中之整流極,其主要的作用為何?(A) 將電樞繞組中的交流電變為直流電(B) 穩定電樞電流(C) 減少換向時引起的電刷火花(D) 增加電機氣隙磁通
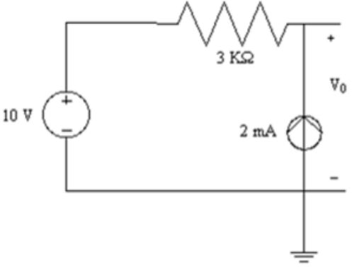
27. 附圖電路所示, V0的電壓為多少?(A) 20 V(B) 16 V(C) 10 V(D) 4 V
28. 電晶體當作線性增量放大時,主要是工作在何區域?(A) 主動區(active region)(B) 截止區(cutoff region)(C) 飽和區(saturation region)(D) 反向模式(reverse mode)
29. 三相同步發電機並聯時,同步指示燈顯示如附圖,●其意指該燈熄滅,○意指該燈明亮,表示二部發電機為何狀況?(A) 已達同步(B) 尚未同步(C) 欠相運轉(D) 互相追逐
30. 空壓機在空氣壓力尚未到達低壓設定時即已起動,但到達足夠的高壓值可正常停機,下列何者是最可能的原因? (A) 接線時將壓力開關的低壓與高壓觸頭位置接反了 (B) 冷卻水水壓太低,使壓力開關動作 (C) 壓力開關低壓設定值太高 (D) 壓力開關高壓設定值太低
31. 船舶航向控制系統中,量測器(Sensor)是指:(A) 船體(B) 電羅經(C) 自動導航系統(D) 舵機及舵
32. 淨油機使用定時自動沖洗(Auto-flushing)的控制系統是屬於:(A) 閉路控制(Closed loop control)(B) 開路控制(Open loop control)(C) 定值控制(Regulating control)(D) 追值控制(Tracking control)
33. 發電機配電盤的先期跳脫,是屬於下列何種保護措施?(A) 短路電流保護(B) 過載電流保護(C) 低電壓保護(D) 逆功率保護
34. AC 440V,3Φ,60Hz主配電盤之空氣斷路器(Air Circuit Breaker)本體,乃由傳動操作裝置、閉合機構以及其他那些裝置所組成?①保護 ②穩壓 ③接點 ④滅弧 (A) ①②③ (B) ②③④ (C) ③④① (D) ④①②
35. 一電感性負載,並聯上適當的電容,則:(A) 負載的功率因數可得到提高,負載電流減小(B) 負載的功率因數可得到提高,負載電流不變(C) 線路功率因數提高,線路電流減小(D) 線路功率因數提高,線路電流不變
36. 發電機起動後,頻率錶顯示低於額定頻率時應如何調整?(A) 調整電壓自動調整器(B) 調整調速器(C) 調整頻率錶(D) 調整激磁
37. 主柴油機遙控系統,對於採用雙凸輪換向的裝置,其特點為:(A) 具有兩個工作面的兩個凸輪(B) 具有兩個分別安裝在兩根凸輪軸上的凸輪(C) 具有兩個工作面的一個凸輪(D) 具有兩個凸輪分別安裝在一根凸輪軸上
38. 在控制系統中加入下列何者控制器,會使暫態反應變慢?(A) 比例控制器(B) 比例積分控制器(C) 比例微分控制器(D) 比例積分微分控制器
39. 接成Δ-Δ接線之三相變壓器,其二次側相電壓與線電壓之關係為何?(A) 前者大於後者(B) 前者等於後者(C) 前者小於後者(D) 視負載而定
40. 讓SCR正常導通的方法為:(A) 在陽極-陰極間加順向偏壓(B) 在陽極-閘極間加順向偏壓(C) 在閘極-陰極間加順向偏壓(D) 在陰極-閘極間加順向偏壓