阿摩線上測驗
登入
首頁
>
技檢◆儀表電子-乙級
> 114年 - 11500 儀表電子 乙級 工作項目 07:數位系統 1-50(2025/11/04 更新)#133302
114年 - 11500 儀表電子 乙級 工作項目 07:數位系統 1-50(2025/11/04 更新)#133302
科目:
技檢◆儀表電子-乙級 |
年份:
114年 |
選擇題數:
50 |
申論題數:
0
試卷資訊
所屬科目:
技檢◆儀表電子-乙級
選擇題 (50)
1. 如下圖電路所示,電路中以布林(Boolean)代數式表示應為何?
(A)C=A⊕B (B)C=A˙B (C)C=A+B (D)C=A⊙B 。
2. 27256-15 的 EPROM 表示其存取時間為何? (A)1.5ms (B)15ns (C)150ms (D)150ns 。
3. EPROM 27128,其容量為何? (A)128kbytes (B)64kbytes (C)32kbytes (D)16kbytes 。
4. 如下圖電路所示為何?
(A)單穩態多諧振盪器 (B)非穩態多諧振盪器 (C)樞密特觸發器 (D)正反器。 。
5. 類比開關(analog switch)加上一解碼器(decoder),不可以做成下列哪一種數位電路? (A)多工器 (B)移位暫存器 (C)解多工器 (D)資料選擇器 。
6. 一個 8 位元移位暫存器加上一個反相器,即可組成一個 8 位元詹森計數器(Johnson counter),其計數狀態有幾個? (A)4 (B)8 (C)9 (D)16 。
7. 邏輯閘在其輸入信號頻率增高時,其功率消耗將有何種變化? (A)增加(B)減少 (C)不變 (D)不一定 。
8. 若 f(W,X,Y,Z)=Σ(2,3,5,7,10),請找出下列何者為錯誤的布林式? (A)
(B)
(C)
(D)
。
9. 有一個 5 個變數的布林函數,其函數可包含的最小項有多少個? (A)10(B)32 (C)65536 (D)
。
10. JK 正反器的 Q 輸出,若欲由 0 變化成 1,則其 J、K 的輸入組合需為何? (A)J=0、K=x (B)J=1、K=x (C)J=x、K=1 (D)J=x、K=0 。(其中 x 表示不理會條件)
11. 互斥或閘不能執行下列哪一種工作? (A)資料比較 (B)資料多工 (C)二進位加法 (D)同位元的檢查 。
12. 有一個控制輸入及一個資料輸入的邏輯電路,當控制輸入為 0 時,輸出資料和輸入資料相同,當控制輸入為 1 時,輸出資料為輸入資料的補數,則此邏輯電路為何? (A)AND 閘 (B)OR 閘 (C)NAND 閘 (D)XOR 閘 。
13. 一個 OR 閘最少需用幾個 NAND 閘來構成? (A)2 個 (B)3 個 (C)4 個 (D)5個 。
14. 下列何種型式的類比/數位轉換器(A/D converter)之轉換時間(conversion time)最快? (A)雙斜率型 (B)計數型 (C)逐步漸進型 (D)並聯比較型 。
15. 一個已簡化過狀態(state)的狀態圖(state diagram)共含有 20 個狀態,最少要使用幾個正反器來設計此電路? (A)3 個 (B)4 個 (C)5 個 (D)6 個 。
16. 有一個 20 級的二進位漣波計數器(binary ripple counter),設每級工作延遲時間為 25ns,試問此計數器最高之工作頻率為何? (A)40MHz (B)20MHz (C)5MHz (D)2MHz 。
17. 下列元件中,哪一個的內部資料不會因停電而消失? (A)DRAM (B)SRAM(C)CMOS RAM (D)EEPROM 。
18. 二進位數 0101010101 轉換成十進位數,等於多少? (A)5 (B)314 (C)341 (D)11111 。
19. 十進位數 123 轉換成十六進位數,等於多少? (A)7A (B)7B (C)7C (D)7D 。
20. A+BC=(A+B)(A+C)是下列哪一種定律? (A)結合律 (B)分配律 (C)交換律 (D)第摩根定理 。
21. 是下列那一種定律? (A)結合律 (B)分配律 (C)交換律 (D)吸收律 。
22. 在 2 的補數運算時,下列何者有可能產生下限溢位(underflow)? (A)負數減負數 (B)負數減正數 (C)正數減負數 (D)正數減正數 。
23. 假如
則其積之和(SOP)為何? (A)Σ(0,2,3,7) (B)Σ(1,4,5,6,)(C)Σ(2,3,5,7) (D)Σ(3,4,6,7) 。
24. TTL 和 CMOS 相比較,TTL 的特徵為何? (A)速度快、功率消耗小 (B)速度慢、功率消耗大 (C)速度快、功率消耗大 (D)速度慢、功率消耗小 。
25. 標準 TTL 的輸出低位電流
為多少? (A)16mA (B)1.6mA (C)400μA (D)40μA 。
26. 數個 JK 正反器,可以組成下列哪一種電路? (A)解碼器 (B)解多工器 (C)環形計數器 (D)單擊電路 。
27. 組成移位暫存器最常用的是那一種的正反器? (A)D 型正反器 (B)RS 型正反器 (C)JK 型正反器 (D)T 型正反器 。
28. 若 則下列何者為其正確的和之積(POS)數字形式?(A)Π(1,2,6,9) (B)Π(1,2,13,14) (C)Π(6,9,12,13) (D)Π(6,9,13,14) 。
29. 下述布林(Boolean)代數式中,哪一個是不同的函數? (A)
(B)
(C)
(D)
。
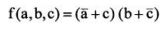
30. 一個 8 線至 1 線的多工器,其選擇線需要幾條? (A)8 條 (B)4 條 (C)3 條 (D)2 條 。
31.
,此布林代數式所表示的邏輯電路是下列那一種?(A)多工器 (B)解多工器 (C)解碼器 (D)計數器 。
32. 可以由使用者燒錄的記憶器,經燒錄後不可再改變其內容的,名稱為何? (A)PROM (B)EPROM (C)mask ROM (D)EEPROM 。
33. 在 TTL 積體電路中,含樞密特電路的反相器和普通的反相器,其最大差別為? (A)輸出電壓不同 (B)電源電壓不同 (C)扇入數不同 (D)臨限(threshold)電壓值不同 。
34. 標準 TTL 系列之輸出最多能驅動幾個同系列 IC 之輸入? (A)8 個 (B)9 個(C)10 個 (D)12 個 。
35. TTL 邏輯族的 74 系列其電源電壓範圍為何? (A)4.6V~5.4V (B)4.65V~5.35V (C)4.7V~5.3V (D)4.75V~5.25V 。
36. 下列各種邏輯族均以+5V 當作電源電壓時,何者的雜訊邊際(noisemargin)為最小? (A)4000 系列 (B)74LS 系列 (C)74HC 系列 (D)74ACT 系列 。
37. 設函數 f(A,B,C,D)=Σ(0,1,2,3,6,7,8,9,12,13,14,15)則下列何者為其最簡式? (A)
(B)
(C)
(D)
。
38. 全加法器的輸入為 A、B 且進位輸入為 C,若和輸出為 S,則 S 的邏輯函數為何? (A)AB+CA+CB (B)AB+C(A⊕B) (C)A⊕B⊕C (D)AB⊕BC 。
39. 用 2 的補數法表示-115 應為下列何者? (A)10001100 (B)10001101 (C)10110011 (D)10110100 。
40. 十六進位數 3FC 轉換成十進位數,等於多少? (A)1019 (B)1020 (C)1035(D)1036 。
41. 全加法器的輸入為 A、B 且進位輸入為 Ci,則進位輸出 Co 之邏輯函數=? (A)
(B)
(C)
(D)
。
42. 將
轉換成二進制應等於? (A)0.1010 (B)0.1011 (C)0.1100 (D)0.1110 。
43. 以 3 組正反器所構成之詹森計數器(Johnson counter),其最大模數為?(A)5 (B)6 (C)7 (D)8 。
44. 設有五個輸入變數的布林函數式 f(A,B,C,D,E),若要使用多工器來實現此函數時,則最佳選擇為選用? (A)4 對一 (B)8 對一 (C)16 對一 (D)32 對一 。
45. 下列何者可僅使用一個邏輯閘來作為一位元的比較器? (A)NAND (B)NOR(C)AND (D)XNOR 。
46. 有兩級 JK 正反器,第一級正反器的輸出 Q1 與
分別接至第二級正反器的輸入 J2 與 K2,又其第二級正反器的輸出 Q2 與
分別接至第一級正反器的輸入 K1 與 J1,試問此電路共可產生幾種不同的狀態? (A)4 (B)3(C)2 (D)1 。
47. 使用漣波計數器設計除頻電路,現有 10MHz 的振盪信號,試問最少應用幾級正反器方可將信號除頻至 1Hz 以下? (A)22 (B)23 (C)24 (D)25 。
48. 若要將信號除頻 1000 倍以上,則使用下列哪一種計數器組成的除頻電路,其使用的正反器個數最少? (A)BCD 計數器 (B)漣波計數器 (C)環形計數器 (D)強森計數器 。
49. 將 24 位元的無號數除以非零的 16 位元無號數,則其商與餘數各為幾位元? (A)24,8 (B)24,16 (C)16,8 (D)8,16 。
50. 下列布林代數何者有錯誤? (A)
(B)
(C)
(D)
。
申論題 (0)
相關試卷
114年 - 11500 儀表電子 乙級 工作項目 10:裝配與測試知識 1-35(2025/11/04 更新)#133310
114年 · #133310
114年 - 11500 儀表電子 乙級 工作項目 09:儀表電學 101-147(2025/11/04 更新)#133309
114年 · #133309
114年 - 11500 儀表電子 乙級 工作項目 09:儀表電學 51-100(2025/11/04 更新)#133308
114年 · #133308
114年 - 11500 儀表電子 乙級 工作項目 09:儀表電學 1-50(2025/11/04 更新)#133307
114年 · #133307
114年 - 11500 儀表電子 乙級 工作項目 08:微電腦概論與應用 51-74(2025/11/04 更新)#133306
114年 · #133306
114年 - 11500 儀表電子 乙級 工作項目 08:微電腦概論與應用 1-50(2025/11/04 更新)#133305
114年 · #133305
114年 - 11500 儀表電子 乙級 工作項目 07:數位系統 101-150(2025/11/04 更新)#133304
114年 · #133304
114年 - 11500 儀表電子 乙級 工作項目 07:數位系統 51-100(2025/11/04 更新)#133303
114年 · #133303
114年 - 11500 儀表電子 乙級 工作項目 06:電子學 151-181(2025/11/04 更新)#133301
114年 · #133301
114年 - 11500 儀表電子 乙級 工作項目 06:電子學 101-150(2025/11/04 更新)#133300
114年 · #133300