阿摩線上測驗
登入
首頁
>
技檢◆數位電子-乙級
> 114年 - 11700 數位電子 乙級 工作項目 05:電子學與電子電路 101-122(2025/12/12 更新)#134875
114年 - 11700 數位電子 乙級 工作項目 05:電子學與電子電路 101-122(2025/12/12 更新)#134875
科目:
技檢◆數位電子-乙級 |
年份:
114年 |
選擇題數:
22 |
申論題數:
0
試卷資訊
所屬科目:
技檢◆數位電子-乙級
選擇題 (22)
複選題
101. 下圖所示,若 V
cc
=5V,LED 順向電壓為 1.7V,順向電流界定在 10mA~20mA 之間,則 R
x
應可選用下列哪些電阻較合適?
(A)150Ω (B)220Ω(C)270Ω (D)300Ω 。
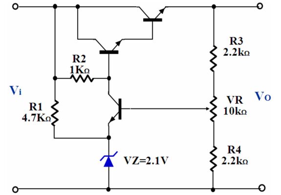
複選題
102. 下圖為一典型直流穩壓電源調整電路,Vbe=0.7V,其輸出電壓可調整之範圍,下列敘述何者正確?
(A)最小 2.7V (B)最小 3.3.V (C)最大 18.3V (D)最大 21V 。
複選題
103. BJT 電晶體各種組態中,下列哪幾項屬於 CC 組態的特徵? (A)電流增益最高 (B)輸入阻抗最高 (C)電壓增益最高 (D)輸出阻抗最高 。
複選題
104. 橋式全波整流電路圖如下,下列敘述何者正確?
(A)D1、D4 順向偏壓時,D2、D3 逆向偏壓 (B)D2、D3 順向偏壓時,D1、D4 逆向偏壓 (C)D1、D2 順向偏壓時,D3、D4 逆向偏壓 (D)D3、D4 順向偏壓時,D1、D2 逆向偏壓 。
複選題
105. 場效電晶體(FET)包含哪些應用? (A)壓變電阻 (B)電阻負載 (C)負電阻(D)記憶裝置 。
複選題
106. 下圖之半波整流電路中,輸入電壓 Vi(t)=200sin(377t)V,下列敘述何者正確?
(A)Vo(t)的頻率為 60Hz (B)Vo(t)的有效值為 63.6V (C)Vo(t)的平均值為 100V (D)二極體的 PIV 值為 200V 。
複選題
107. 理想運算放大器的特性,下列敘述何者正確? (A)輸出阻抗為無限大 (B)差動輸入時,共模拒斥比(CMRR)無限大 (C)輸入阻抗為零,即輸入電流 Ii=0 (D)頻帶寬度無限大 。
複選題
108. 下圖之 CE 放大器中,V
CC
=20V,β=120,V
BE
=0.7V,下列何者正確?
(A)I
B
=28.38μA (B)I
C
=1.86mA (C)V
C E
=11.26V (D)V
BC
=10.56 。
複選題
109. 有關電晶體直流組態中,下列敘述何者正確? (A)就輸入阻抗而言 CB<CE<CC (B)功率增益以 CE 組態最大 (C)放大器的後級使用 CC 組態是為了作阻抗匹配和放大電流用 (D)就電壓放大倍數比較,50 比-50 來得大 。
複選題
110. 有關二極體的使用,下列敘述何者正確? (A)1N4001 為 PN 二極體編號(B)一般有白色環狀帶或有標記的一端為 P (C)可使用三用電表歐姆檔測試二極體好壞 (D)所有二極體若要正常工作,皆需要加順向偏壓 。
複選題
111. 下列敘述何者正確? (A)低雜質濃度的半導體,溫度升高,電阻降低 (B)絕緣體的溫度升高,電阻增加 (C)金屬導體的溫度升高,傳導性增加 (D)高雜質濃度的半導體,溫度升高,電阻增加 。
複選題
112. 在矽半導體材料中,摻入五價元素後,下列敘述何者正確? (A)屬於 N 型半導體 (B)少數載子為電洞 (C)屬於 P 型半導體 (D)少數載子為電子 。
複選題
113. 有關電晶體特性曲線敘述,下列何者正確? (A)集極輸出特性曲線表示的是 VCE 與 IC 之間的關係 (B)基極輸入特性曲線表示的是 VBE 與 IB 之間的關係 (C)繪製集極輸出特性曲線時是以 IC 為參考基準 (D)VCE 對 VBE與 IC 之間的關係影響很大 。
複選題
114. 有關電晶體直流參數之敘述,下列何者正確? (A)
(B)
(C)
(D)
。
複選題
115. 一部電源供應器,其輸出阻抗為 2Ω,開路電壓為 30V,滿載電流為2.5A,VR 為電壓調整率(Voltage Regulation)、V
NL
為開路電壓、V
FL
為滿載電壓,下列何者正確? (A)定義為 VR=(V
NL
-V
FL
)/V
FL
*100% (B)定義為 VR=(V
NL
-V
FL
)/V
NL
*100% (C)VR=20% (D)VR=17.67% 。
複選題
116. 下圖之電路中,下列何者正確?
(A)Vab=0V (B)Vb=68V (C)Vdb=10V (D)Vc=68V 。
複選題
117. 下圖之電路中,下列何者正確?
(A)總電組 R
T
=4Ω (B)總電流 I
T
=5A (C)流經 6Ω的電流 I
6Ω
=0 (D)流經 2Ω的電流 I
2 Ω
=2.5A 。
複選題
118. 有關磁力線之敘述,下列何者正確? (A)磁鐵內部由 N 到 S (B)磁力線無論進入或離開磁鐵均與其表面平行 (C)磁力線是封閉曲線 (D)磁力線彼此不相交 。
複選題
119. 理想電壓源與電流源內阻,下列敘述何者正確? (A)電壓源內阻愈大愈好(B)電流源內阻愈小愈好 (C)電壓源內阻愈小愈好 (D)電流源內阻愈大愈好 。
複選題
120. 有關電子電路中,達靈頓(Darlington)放大器之特性,下列敘述何者正確? (A)電壓增益高 (B)電流增益高 (C)輸入阻抗高 (D)輸出阻抗低 。
複選題
121. 下列何者是振盪所必要的條件? (A)必須是正回授 (B)回授因數βA 必須為≧1 (C)必須有電感器 (D)必須有維持振盪的足夠能量 。
複選題
122. 下列何者是負回授的優點? (A)降低諧波失真 (B)增進放大器穩定度 (C)減少相位失真 (D)較佳的低輸入阻抗 。
申論題 (0)
相關試卷
114年 - 11700 數位電子 乙級 工作項目 10:微控制器系統 1-40(2025/12/12 更新)#134885
114年 · #134885
114年 - 11700 數位電子 乙級 工作項目 09:網路技術與應用 1-42(2025/12/12 更新)#134884
114年 · #134884
114年 - 11700 數位電子 乙級 工作項目 08:程式語言 51-81(2025/12/12 更新)#134883
114年 · #134883
114年 - 11700 數位電子 乙級 工作項目 08:程式語言 1-50(2025/12/12 更新)#134882
114年 · #134882
114年 - 11700 數位電子 乙級 工作項目 07:電腦與周邊設備 101-129(2025/12/12 更新)#134881
114年 · #134881
114年 - 11700 數位電子 乙級 工作項目 07:電腦與周邊設備 51-100(2025/12/12 更新)#134880
114年 · #134880
114年 - 11700 數位電子 乙級 工作項目 07:電腦與周邊設備 1-50(2025/12/12 更新)#134879
114年 · #134879
114年 - 11700 數位電子 乙級 工作項目 06:數位邏輯設計 101-140(2025/12/12 更新)#134878
114年 · #134878
114年 - 11700 數位電子 乙級 工作項目 06:數位邏輯設計 51-100(2025/12/12 更新)#134877
114年 · #134877
114年 - 11700 數位電子 乙級 工作項目 06:數位邏輯設計 1-50(2025/12/12 更新)#134876
114年 · #134876