阿摩線上測驗
登入
首頁
>
技檢◆數位電子-甲級
> 114年 - 11700 數位電子 甲級 工作項目 05:電子學與電子電路 101-145(2025/12/12 更新)#134860
114年 - 11700 數位電子 甲級 工作項目 05:電子學與電子電路 101-145(2025/12/12 更新)#134860
科目:
技檢◆數位電子-甲級 |
年份:
114年 |
選擇題數:
45 |
申論題數:
0
試卷資訊
所屬科目:
技檢◆數位電子-甲級
選擇題 (45)
101. 一個四級的放大器每一級的電壓增益為 15 倍,則全級的總增益為 (A)15(B)60 (C)3078 (D)50625 。
102. 一電壓調整額定滿載時之電壓為 4.8V,而無載電壓為 5V,則其電壓調整率為 (A)2% (B)4% (C)6% (D)8% 。
103. 下圖之電路,A、B 兩端之等效電阻為
(A)1.5 歐姆 (B)1.75 歐姆 (C)2 歐姆(D)2.5 歐姆 。
104. 下圖之兩波形,若峰值電壓相同,則兩波形的有效值電壓相差
(A)2 倍 (B)
倍 (C)3 倍 (D)
倍 。
105. 下圖之樞密特(Schmitt trigger)電路其運算放大器輸出飽和電壓各為±15V,則其磁滯區(hysteresis)的上、下觸發電壓(UTL、LTL)各為
(A)11V 和 1V (B)5V 和-4V (C)9V 和-4V (D)9V 和-1V 。
106. 下圖的 RC 相移振盪器 Rf 較合適的電阻值為
(A)100KΩ (B)150KΩ (C)250KΩ (D)290KΩ 。
複選題
107. 有關電位之敘述,下列何者正確? (A)愈靠近正電荷處,電位愈高 (B)具有大小及方向性 (C)距電場無窮遠處之電位為零 (D)與溫度成正比 。
複選題
108. 下圖之電路,下列敘述何者正確?
(A)E
TH
=3V (B)R
TH
=1.5Ω (C)R
L
=9Ω時,可得最大功率 (D)R
L
可得最大功率為 1.5W 。
複選題
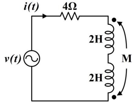
109. 下圖之電路,
、M=0.5H,下列敘述何者正確?
(A)電流均方根 I=2A (B)視在功率 S=10VA (C)平均功率 P=16W (D)功率因數PF=0.8 。
複選題
110. 下圖之電路,下列敘述何者正確?
(A)V
2
節點的克希荷夫電流的方程式為
(B)
(C)I
4
=2mA (D)I
1
=0.833mA 。
複選題
111. 下圖所示,下列敘述何者正確?
(A)V
2
、V
3
節點的克希荷夫電流的方程式為
(B)V
3
-V
12
=-12 (C)I
3
=3.8mA (D)
。
複選題
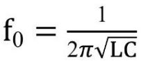
112. 下圖之 R-L-C 串聯時電路,下列敘述何者正確?
(A)諧振頻率為
(B)諧振時,阻抗值最大,電流最小 (C)諧振時,阻抗為純電阻性 (D)諧振時,電壓與電流相同,相差角為 0 度,其功率因素(Powerfactor)為 0 。
複選題
113. 某 RLC 串聯電路,下列敘述何者正確? (A)若 X
C
=X
L
,則電壓與電流同相 (B)若 X
C
>X
L
,則電路呈電容性 (C)若 X
C
<X
L
,則電路呈電容性 (D)若X
C
<X
L
,則電路呈電感性 。
複選題
114. 下圖之電路,R
1
=25Ω,R
2
=75Ω,R
3
=50Ω,R
4
=5Ω,I
1
=12A,I
2
=-16A,下列敘述何者正確?
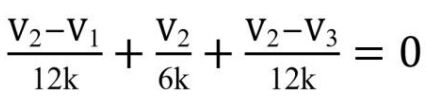
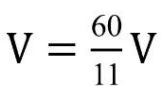
(A)V
1
=30V (B)V
2
=90V (C)元件敏感度(V/Ω)分析結果顯示,對 V
2
影響最大的是 R
4
(D)若以 R
3
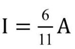
為負載,欲獲得最大功率移轉的 R
3
阻值必須於大於 50Ω 。
複選題
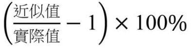
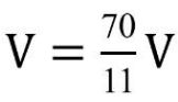
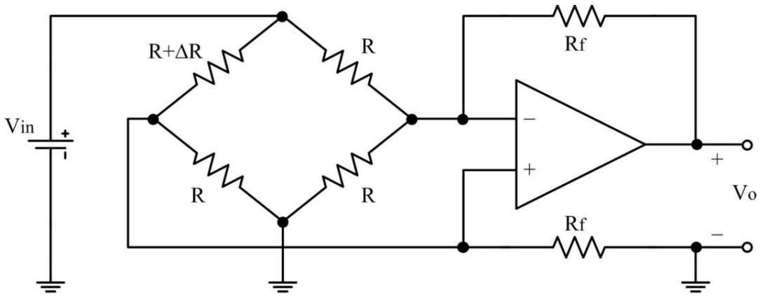
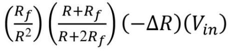
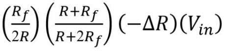
115. 下圖之應變計電路,若 R
f
=470kΩ,R=10kΩ,ΔR=95Ω,Vin=15V,利用輸出電壓的近似公式(若ΔR<<R),與誤差百分率
,下列敘述何者正確?
(A)近似值約為
(B)近似值約為
(C)誤差百分率約為 0.48% (D)誤差百分率約為 0.95% 。
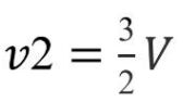
複選題
116. 下圖所示,若
,則下列敘述何者正確?
(A)a=2 (B)a=3(C)b=2 (D)b=3 。
複選題
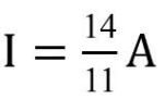
117. 下圖所示,各支路電流敘述何者正確?
(A)I
1
=3A (B)I
2
=-3A (C)I
3
=3A (D)I
1
+I
2
+I
3
=6A 。
複選題
118. 可以用來製作弦波振盪器的電路有哪些? (A)RC 相移振盪器 (B)哈特萊振盪器 (C)韋恩電橋振盪器 (D)555 計時振盪器 。
複選題
119. 有關諧波振盪器的敘述,下列何者正確? (A)只有高頻諧波振盪 (B)在無外加輸入信號的情況下,電路可以自激振盪產生正弦波輸出電壓 (C)只有低頻諧波振盪 (D)窄頻帶濾波器的功用是濾除電路的雜訊 。
複選題
120. 下圖所示,其電壓 V 及電流 I 各為何?
(A)
(B)
(C)
(D)
。
複選題
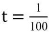
121. 下圖所示,E=10V,R=50Ω,L=20mH,e
-1
=0.368,e
- 2
=0.135,e
-3
=0.05,當開關 S 於 1 的位置,電路已達穩態,再將 S 由位置 1 撥到位置 2 時,下列敘述何者正確?
(A)經過 0.8 毫秒時,電路的電流為 0.027A(B)需要 2 毫秒,電感 L 才能釋放完能量
(C)經過 1.2 毫秒時,電阻兩端電壓為 1V (D)時間常數 t=1 秒 。
複選題
122. 下圖所示,設計一組熱風機電路,V 為輸入交流電 120V
rms
/60Hz,藉滑動開關 SS 選擇四段檔位,滑動開關位於關檔位時,U0 與 U1 連接且 D0與 D1 連接,開關滑動至低檔位時,U1 與 U2 連接且 D1 與 D2 連接,依此類推,每一檔位均由 R1、R2 及 R3 組成不同的對應電路,低、中、高三段檔位的消耗功率分別為 600W、900W、1200W,試計算 R1、R2 及R3,下列何者正確?
(A)R1=8Ω (B)R1=16Ω (C)R2=4Ω (D)R3=8Ω 。
複選題
123. 下圖所示,R=3000Ω,XL=j4000Ω,負載電阻 RL 可切換範圍為0,100,200,…,4000Ω,容抗 XC 可切換範圍為 0,-j100,-j200,…,-j2000Ω,間隔均為 100Ω。調整 RL 及 XC 使對負載產生最大平均功率轉移,估計負載電阻 RL、容抗 XC 及平均功率 P 的近似值為何?
(A)RL 約 2600Ω (B)RL 約 3600Ω (C)XC 約-j1000Ω (D)P 約 7.6mW 。
複選題
124. 下圖所示,下列何者正確?
(A)Vab=2V (B)Vab=3V (C)I=3mA (D)I=2mA 。
複選題
125. 下圖所示,下列何者正確?
(A)Vab=12V (B)Vab=4V (C)I=3A (D)I=2A 。
複選題
126. 以功率放大器的分類,就失真大小與效率高低而言,下列何者正確? (A)失真大小:C 類>B 類>AB 類>A 類 (B)效率高低:C 類>B 類>AB 類>A 類 (C)失真大小:C 類>AB 類>B 類>A 類 (D)效率高低:C 類>AB類>B 類>A 類 。
複選題
127. 空乏型 FET,若其夾止電壓 V
P
=-5V,則當加在閘極至源極的電壓V
GS
=0V 且 1V<V
DS
<5V 時,此 FET 會工作在什麼區域? (A)崩潰區 (B)飽和區 (C)三極管區 (D)截止區 。
複選題
128. 有關半導體的敘述,下列何者正確? (A)自由電子成為價電子的條件須釋放能量 (B)導體的能隙小於半導體的能隙 (C)N 型半導體為在本質半導體中摻雜五價元素以增加導電性,其形成電流的少數載子為電子 (D)無論是本質或外質半導體,其整體電性為電中性 。
複選題
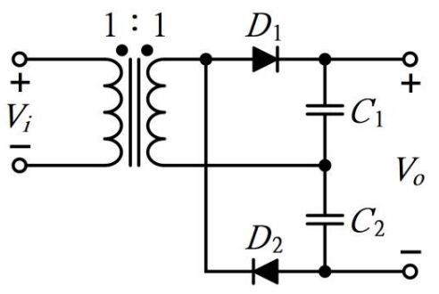
129. 下圖所示,V
in
是 110V/60Hz,D
1
~D
4
的導通電壓為 0.7V,D
5
的稽納電壓為 12V,若所有二極體的內阻都忽略不計,則下列敘述何者正確?
(A)D
1
導通時,D
3
也導通 (B)電容 C 兩端的最大電壓降約為 14V (C)通過電阻R 的最大電流約為 6.5mA (D)D
1
與 D
2
所承受峰值逆向電壓相同 。
複選題
130. 下圖之全波整流電路中 v
s
(t)=V
m
sin(2πf‧t),下列敘述何者正確?
(A)vo的頻率為 2f (B)v
o
的平均電壓為
(C)v
o
的有效電壓為
(D)二極體的(Peak Inverse Voltage)PIV=V
m
。
複選題
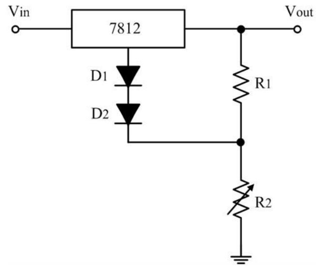
131. 下圖之可調式穩壓電路,穩壓 IC 為 7812、二極體(D
1
、D
2
)的導通電壓各為 0.7V,下列敘述何者正確?
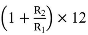
(A)R
2
=0Ω時,Vout=12V (B)Vout 最小電壓為 13.4V (C)Vout 的輸出電壓為
(D)R
1
兩端的電壓不會隨 R2的電阻值改變而改變,都是 13.4V 。
複選題
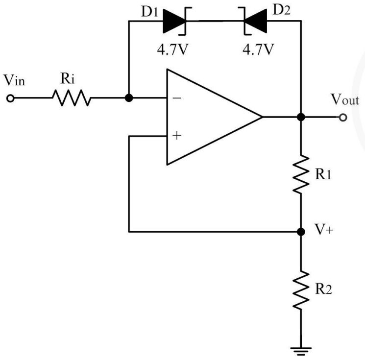
132. 下圖之 Vin(t)=10sin(377t),D
1
、D
2
的崩潰電壓都為 4.7V,順向偏壓0.7V,R
1
=100kΩ,R
2
=47kΩ,下列敘述何者正確?
(A)V+的電壓為±2.54V (B)流過 R
1
的電流為±54μA (C)流過 R
2
的電流為±79.4μA (D)Vout的電壓±5.4V 。
複選題
133. 下圖為近接開關在手指觸摸時的等效電路,C
1
為近接開關按鈕的電容器模型,C
2
為一固定電容器,若 C
1
=C
2
=C
3
=25pF,下列敘述何者正確?
(A)有人觸摸時 Vo=Vs/3 (B)無人時 Vo=Vs/2 (C)有人觸摸時 Vo=2Vs/3 (D)無人時 Vo=Vs/4 。
複選題
134. 下圖為主動式濾波電路,其中心頻率為 3000Hz,品質因數為 10,通帶增益為 2,下列敘述何者正確?
(A)為帶通濾波器 (B)為帶拒濾波器 (C)R
1
:R
3
比值約為 4 (D)R
1
:R
3
比值約為 1/4 。
複選題
135. 有關互補式金屬氧化物半導體(CMOS),下列敘述何者正確? (A)可以當作開關使用 (B)由 N-MOS 和 P-MOS 組合而成 (C)為互補型態的 MOS (D)是由電流控制驅動 。
複選題
136. 某一負載兩端交流電壓 v(t)=100sin(314t+30°)伏特,流經負載之交流電流i(t)=10cos(314t-60°)安培,下列敘述何者正確? (A)最大值
(B)
秒時的瞬間值 v(t)=0V (C)信號頻率 f=50Hz (D)電壓信號 v(t)與電流信號 i(t)同相 。
複選題
137. 下圖之電路,V
i
(t)=V
m
sin wt,下列敘述何者正確?
(A)V
o
漣波頻率與 V
i
電壓頻率相同 (B)二極體 D
1
的最大逆向偏壓為 2V
m
(C)電容器 C
1
上的電壓為 V
m
(D)電路為半波二倍倍壓電路 。
複選題
138. 於矽半導體中摻入硼的雜質,下列敘述何者正確? (A)應屬於 N 型半導體(B)其多數載子為電子 (C)應屬於 P 型半導體 (D)其多數載子為電洞 。
複選題
139. 下圖所示,其電壓 V 及輸出電壓 Vo 各為何?
(A)V=1V (B)Vo=6V (C)V=2V (D)Vo=5V 。
複選題
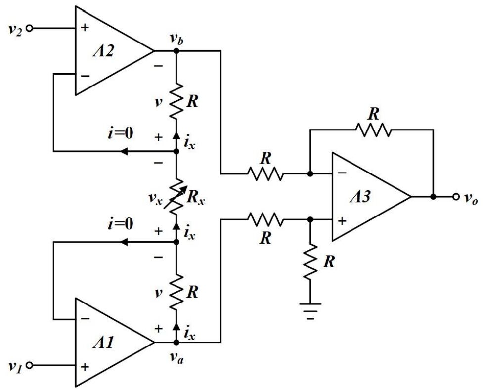
140. 下圖所示,若 R=20KΩ、R
x
=5KΩ、v
1
=1V、v
2
=0.6V,則下列各點電壓何者正確?
(A)v
a
=2.6V (B)v
b
=-1V (C)v
o
=3.6V (D)v
o
=1.6V 。
複選題
141. 下(圖一)及(圖二)所示,下列敘述何者正確?
(A)(圖一)為史密特電路 (B)(圖二)為積分電路 (C)(圖一)為反相放大器 (D)(圖二)為微分電路 。
複選題
142. 下圖之三倍與四倍壓電路,C
1
=C
2
=C
3
=C
4
,V
s
=V
m
sin(120πt),下列敘述何者正確?
(A)C
1
的兩端電壓為 V
m
(B)C
2
的兩端電壓為 2V
m
(C)C
3
的兩端電壓為 3V
m
(D)C
4
的兩端電壓為 4V
m
。
複選題
143. 理想的運算放大器中,下列敘述何者正確? (A)輸出短路電流為無限大 (B)共模互拒比(CMRR)為無限大 (C)變動率(Slew Rate)等於 0 (D)增益與頻寬的乘積等於 0 。
複選題
144. 下圖為帶通濾波器電路,若中心頻率為 500Hz,品質因數為 1,電容值為2μF 時,則電阻 R1 及電感 L1 的值約為
(A)R=200Ω (B)R=160Ω (C)L=50mH (D)頻寬為 250Hz 。
複選題
145. 有一 n 級串接放大電路,若每級之放大倍數均為 Av,下列敘述何者正確? (A)串接級數 n 愈大,總增益愈大 (B)串接級數 n 愈大,總頻寬愈窄(C)總放大倍數為 n·(Av) (D)總放大倍數為 nlogAv 。
申論題 (0)
相關試卷
114年 - 11700 數位電子 甲級 工作項目 10:嵌入式系統 1-57(2025/12/12 更新)#134868
114年 · #134868
114年 - 11700 數位電子 甲級 工作項目 09:網路技術與應用 51-72(2025/12/12 更新)#134867
114年 · #134867
114年 - 11700 數位電子 甲級 工作項目 09:網路技術與應用 1-50(2025/12/12 更新)#134866
114年 · #134866
114年 - 11700 數位電子 甲級 工作項目 08:程式語言 51-89(2025/12/12 更新)#134865
114年 · #134865
114年 - 11700 數位電子 甲級 工作項目 08:程式語言 1-50(2025/12/12 更新)#134864
114年 · #134864
114年 - 11700 數位電子 甲級 工作項目 07:電腦與周邊設備 1-48(2025/12/12 更新)#134863
114年 · #134863
114年 - 11700 數位電子 甲級 工作項目 06:數位系統設計 51-103(2025/12/12 更新)#134862
114年 · #134862
114年 - 11700 數位電子 甲級 工作項目 06:數位系統設計 1-50(2025/12/12 更新)#134861
114年 · #134861
114年 - 11700 數位電子 甲級 工作項目 05:電子學與電子電路 51-100(2025/12/12 更新)#134859
114年 · #134859
114年 - 11700 數位電子 甲級 工作項目 05:電子學與電子電路 1-50(2025/12/12 更新)#134858
114年 · #134858