所屬科目:教甄◆數學
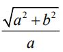
1.設雙曲線(a>0,b>0)的右焦點為F,過F作與x軸垂直的直線L,L與兩條漸近線分別交於A、B兩點,P是L與雙曲線的一個交點,設O為原點,若有實數m、n,使得向量,且,則:=_____。
2.在一排有20張椅子的座位區中,要安排甲、乙、丙、丁、戊5人入坐,一人坐一張椅子,要求第1張與最後一張椅子不能安排人入坐,且每相鄰的5張椅子至少要有一人入坐,任兩人不能坐在相鄰的椅子上。試問:5人入坐的方法有______種可能。
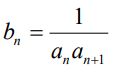
3.等差數列的前n項和為。已知a1=10,a2為整數,且對所有的正整數n,恆成立。若,則:b1+b2+b3+......=______。
4.若實數xy,滿足:4x2-4xy+2y+2y2=1,則:3x2+xy+y2的最大值與最小值的和為______。
5.設α,β,γ,且滿足:sin α‧β+ cos α cos‧sin β |sin α‧|cos α|+|sin β|‧cos β,則:(tan γ -sin α)2 +(cot γ-cos β)2的最小值為______。
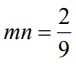
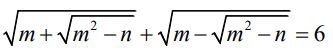
6.mn,為正整數,則滿足:的所有n的總和為______。
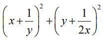
7.已知xy,∈,則的最小值為______。
8.已知一圓內接15邊形,且圓心在此15邊形內部。從此15邊形中任取3個頂點可構成一個三角形,則所構成的三角形中最多有______個鈍角三角形。
9.將展開後可得多項式設之值為k,試求:log4|k|=______。
10.設複數z1,z2滿足:︱z1︱=︱z1+z2︱=3,︱z1-z2︱=3√3,則:=_____