所屬科目:教甄◆數學
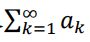
51. 設 a, b, c 為實數且abc ≠ 0, , 求 A 所有可能值的和為多少? (A) −2 (B) −1 (C) 0 (D) 1
52. 設隨機變數 X 與 Y 的相關係數為−0.4,則? − 2與2? 的相關係數為何? (A) −0.2 (B) −0.4 (C) −0.6 (D) −0.8
53. 設 a 為正整數,求的末位數字為多少? (A) 0 (B) 2 (C) 5 (D) 6
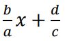
54. 已知?(x) = 3x − 1, ?(x) = 5x + 4,若v(t(x)) = u(x), v(x) = (c, d 為互質的正整數),求c + d =? (A) 8 (B) 15 (C) 18 (D) 20
55. 設 a 為正整數,已知2a + 1為3a − 4的因數,求 a 的 所有可能值之和為多少? (A) 4 (B) 5 (C) 10 (D) 11
56. 在△ ABC中,∠ACB = 90°,∠ABC = 15°, = 1, 求 =? (A) 2 + √3 (B) 2 − √3 (C) √3 − √2 (D) √3 + √2
57. a, b, c, d為自然數,0 < a < b < c < d < 10,下列哪個 數值最大? (A) (10a + b)(10c + d) (B) (10b + d)(10a + c) (C) (10c + a)(10d + b) (D) (10d + a)(10c + b)
58. 某甲的零錢包中有 50 元和 10 元硬幣,兩種硬幣的數 量相等。如果某乙拿 15 個 10 元硬幣和某甲的 50 元 硬幣兌換,則某甲的 10 元硬幣數量變成 50 元硬幣的3 倍。某甲的零錢包內有多少錢?(元) (A) 650 (B) 720 (C) 760 (D) 840
59. 某甲到國外旅遊,他在百貨公司購物支付 120 美元後 到客服中心申請退稅。若該國的營業稅為 20%,他可 以拿回多少退稅金?(不考慮手續費) (A) 120 ∙ 0.2 (B)(C)(D) 120 ∙ (1 − 0.2)
60. 齒輪箱通常設計成以小齒輪帶動大齒輪。假設小齒輪轉速為384 rpm(revolutions per minute),大齒輪的 轉速需求為75 rpm,在齒數總和最小化的設計中,大 小齒輪的齒數總和為何? (A) 150 (B) 151 (C) 152 (D) 153
61. 複數平面上三角形,其頂點分別是
1 + 2i,4 − 2i,1 − 6i,問三角形面積為何? (A) 12 (B) 24 (C) 36 (D) 72
62. 下面何者是矩陣的特徵值呢? (A) 1 (B) −4 (C) 2 (D) -2
63. 先求 |x + 1| + |x − 1| = 3 的所有實數解,問這些實 數解的和是多少? (A) 0 (B) 1 (C) 2 (D) 3
64. 若(a,b),(c,d)是平面單位圓 x2 + y2 = 1 上的點, 則 ac+bd 不可能等於? (A) −1 (B) 0 (C) 1 (D) 2
65. 瑕積分 =? (A)(B)(C) (D)
66. 若 log4 12 = a,則=? (A) 2a (B)(C)(D)
67. 函數 x3 − 3x + 1 = 0 有幾個實根呢? (A) 0 (B) 1 (C) 2 (D) 3
68. 求 x2 − |x + 2| < 0 實數解集合? (A) −1 < x < 2 (B) −2 < x < 1 (C) −1 < x < 1 (D) 1 < x < 2
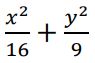
69. 平面上橢圓 = 1 到直線 x + y = 7 最短距 離是? (A) 2 (B) 3 (C) √2 (D) √3
70. 若f(x)是三次多項式,f(−2) = −5, f(−1) = f(0) = f(1) = 1,則f(2) =? (A) 0 (B) 7 (C) 14 (D) 21
71. 6 個相同的球,完全放入 4 個不同的盒子,每個盒子 至少有 1 個,問有幾種放法? (A) 6 (B) 8 (C) 10 (D) 12
72. 下圖為蜂窩序列的前 3 項,n = 1,2,3,試問:當n = 7 時有多少間蜂房?
(A) 110 (B) 119 (C) 123 (D) 127
73. 如圖, = 27,= 12,∠ACB = ∠CDA, = 15,求 =?
(A) 21 (B) 22.5 (C) 24 (D) 25.5
74. 將有名的 Monty Hall problem 簡化如下: 有 3 個箱 子,其中一個有獎,另兩個為空箱。莊家請玩家從 3 個箱子中挑選一個。當玩家選好後,莊家會打開一個 空箱,詢問玩家要不要改選另一個箱子。如果玩家決 定採用一公平的硬幣決定要不要換,請問玩家中獎的機率為何? (A) (B)(C)(D)
75. 設三個互不相等的有理數可分別表為1, a, a + b及 0, b, 的形式,求 =? (A) −2 (B) 0 (C) 1 (D) 2
76. 設邊長為 3 的正三角形的內切圓為O1,而O1之內接正 三角形的內接圓為O2,依此作法將得到內切圓為 O3,O4, …,令. 為第 k個內切圓的面積,求 =? (A) π (B) 3π (C) 9π (D) 12π
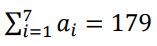
77. 設a1, a2, … , a7為正整數,且a1 < a2 < ⋯ < a7,已知,求 的最大值為何? (A) 67 (B) 69 (C) 73 (D) 75
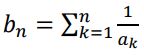
78. 有一等比數列前 n 項的和 = 200,前 2n 項的和 = 300,求此數列前 4n 項的和為多少? (A) 350 (B) 375 (C) 425 (D) 450
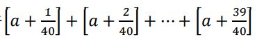
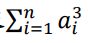
79. 設a1, a2, … , 中每一個數值只能取−2, 0, 1中的一個 數,已知,求=? (A) −84 (B) −78 (C) −70 (D) −62
80. 設有濃度分別為 5%,8%,及 9%的 A,B,及 C 三種酒精, 它們分別有 60 克,60 克,及 41 克。若要配置成濃度為7%的酒精 100 克,則要用到 A 酒精最少 a 克,最多 b 克,求 a + b =? (A) 70 (B) 74 (C) 78 (D) 82
81. 若 = 28,已知 0 < a < 1,求[10a] =? ([x]:表示不超過 x 的最大整數) (A) 7 (B) 8 (C) 9 (D) 10
82. 紅球 14 顆白球 6 顆,將它們排成一列,兩個白球中間 至少要排 2 個以上(包含 2 個)紅球,求這樣的排法共 有多少種? (A) 180 (B) 190 (C) 210 (D) 240
83. ABCD 為梯形,為上底,為下底,已知, 點 E 在邊上,為∠BCD的角平分線,且, ,若四邊形 AECD 的面積為 7,則梯形 ABCD 的面積為多少? (A) 9 (B) 10 (C) 12 (D) 15
84. 四角錐台(frustum)為大金字塔切去上方小金字塔而得,如下圖:
某個四角錐台高為 1 單位,四角錐台側邊(梯形)的上下底分別為 3 與 5。若將該四角錐台的表面積寫成 a + b√c,則a + b + c的值為何?(A) 52 (B) 54 (C) 57 (D) 60
85. 承上,若該四角錐台的體積為 (最簡分數),則 d + e的值為何? (A) 52 (B) 54 (C) 57 (D) 60
86. d 波利亞甕(Polya’s Urn)是一種把樣本還原為母體 (Unsampling)的模型:假設某抽樣的目的是調查某社 群對某項議題的支持度,而抽樣結果為「3 人支持、2 人反對」。現在用「3 個黑球、2 個白球」表示此樣 本,放入一甕中,並開始逐步還原為母體(反抽樣): 從中抽出 1 球,若為黑球,將其放回並補充 2 個黑球; 若為白球,將其放回並補充 2 個白球,如此稱為一回 合。計算在第 4 回合補充黑球的機率。 (A) 0.3 (B) 0.5 (C) 0.6 (D) 0.8
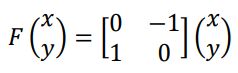
87. 已知線性映射,而且F把平面上的直線 x − y + 1 = 0 映射到另一直線,問新的直線方程式為? (A) x + y + 1 = 0 (B) x + y − 1 = 0 (C) x − y + 1 = 0 (D) x − y − 1 = 0
88. 三度空間上,若向量(1,-2,1),(0,1,2),(2,-3,c) 是 線性相依,則c =? (A) −4 (B) 4 (C) 2 (D) −2
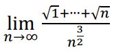
89. 求 =? (A) 1 (B) 2 (C) −1 (D) −2
90. 求 =? (A)(B) 1 (C)(D) 4
91. 求 =? (A) 1 (B) −1 (C)(D)
92. 函數 f(x) =的最小值是? (A) 2 (B) (C) (D) √2
93. 若平面上的三角形的邊長分別是√13 、5 與 6 ,則 此三角形的面積等於? (A) 9 (B) 18 (C) 36 (D) 12
94. 若 x= ,則 x3 + 2x2 − 4x + 1 =? (A) 1 (B) −1 (C) 2 (D) −2
95. 某甲在一段階梯跳上跳下,每跳一次恰移動一個台階。 如果他從地面開始連跳 6 次,最後回到地面,有幾種 可能跳法? (A) 5 (B) 8 (C) 13 (D) 20
96. y = ax2 + bx + c (a ≠ 0)與 x 軸交於 A, B 兩點,與 y 軸交於 C 點,若△ ABC為直角三角形,則ac =? (A) −2 (B) −1 (C) 1 (D) 2
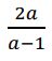
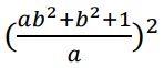
97. 設a2 + 2a − 1 = 0 , b4 − 2b2 − 1 = 0且ab2 ≠ 1,求=? (A) 1 (B) 4 (C) 6 (D) 8
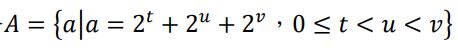
98. 令,設 t, u, v 為整數,集合A中的數由小排到大組成一個數列, 舉例而言,a1 = 7, a2 = 11, a3 = 13 ,求 =? (A) 132 (B) 134 (C) 137 (D) 145
99. 設直線3x − y = 0上有一個動點 P,已知平面上有另 二固定點A(1, −2)及B(0, −1),當 P 點的座標為(c, d) 時,的值最小,求c =? (A) −2 (B) −1 (C)(D)
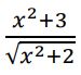
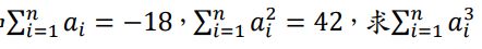
100.若 ,且 ,則 =? (A) 1 (B) 2 (C)(D)