所屬科目:研究所、轉學考(插大)-微積分
1. = ①
2. = ②
3.= ③
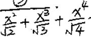
4. the interval of convergence for 1+x+ + ... is ④ .
5. The area inside the smaller loop of the limacon r=2-4cosθ is ⑤ .
6. the point of the curve y = lnx at which the curvature is a maximum is ⑥ .
7. If f(x,y)= , then = ⑦ .
8. The directional derivative of f(x,y) = x²+3xy-y² at (2, 1) in the direction toward (1, -3) is ⑧ .
9. , where R={(x,y) | 0≤x≤√2, 0≤y≤}, is ⑨ .
10. Let C be boundary of triangle with vertices (頂點) (0,0), (1,2), and (0,2), then 4xy²dx + 2y³dy = ⑩ .
11. The volume in the first octant cut off from the cylinder x²+z²=4 by the plane y+z=6 is ⑪ .
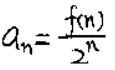
12. Suppose f(x) is continuous and strictly increasing on [0, 1] with f(0)=0 and f(1)=1. If , then = ⑫ .
二. ①
②
①
② Let , where
Does converge?
四. The temperature at each point (x, y) in a semicircular plate defined by x²+y²=4, y≥0, is given by T(x,y)=16x²-2x²y+40-y². Find the hottest and the coldest points in the plate.