所屬科目:研究所、轉學考(插大)-微積分
(a) (sec x - tan x)
(b)
2. (5 point) Let g(x) = x(x - 1)(x - 2)(x - 3). How many real roots has the equationg'(x) = 0? For each, specify an interval containing that root and no others.
(a) (7 point) ∫ tan⁻¹ x dx
(b) (8 point)dy dx
4. (5) if z = f⁻¹(y) = y5 + y3, what is (f⁻¹)'(2)?
5. (15) Find all the local maximum values (局部極大值), local minimum values(局部極小值), and saddle points (鞍點), of the following functionf(x, y) = x3 + y3 + 3x² - 3y² - 8.
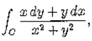
6. (10 point) Find where C is the arc of the circle x² + y² = 1 from (1, 0) counterclockwise to ().
7. (10 point) Find dy/dx if y is a differentiable function of x satisfying the equation2x³ + y3 - 5xy = 0.
(a) If f' is continuous, and if the graph of f passes through the points (1, 2) and (3, 5),what is f'(x) dx?
(b) Let F(x) = f(t) dt. What is F'(x)?