所屬科目:研究所、轉學考(插大)-微積分
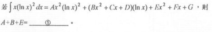
1.
3.
4.
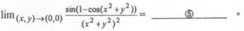
5.
6.由平面y-x=0及球x2+y2+z2=4所決定的圓上,函數(x,y,z)=xy+z2的極大
值為__________
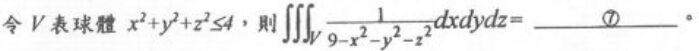
7.
8.
(a)試說明(1.001)1000與e相近。
(b)試給出(1.001)1000-e的一個誤差估計,且核誤差估計的大小準確到0.001。
10.