阿摩線上測驗
登入
首頁
>
研究所、轉學考(插大)-微積分
> 89年 - 89 淡江大學 轉學考 微積分#56162
89年 - 89 淡江大學 轉學考 微積分#56162
科目:
研究所、轉學考(插大)-微積分 |
年份:
89年 |
選擇題數:
0 |
申論題數:
13
試卷資訊
所屬科目:
研究所、轉學考(插大)-微積分
選擇題 (0)
申論題 (13)
【已刪除】⑴
【已刪除】(2).
【已刪除】(3).
【已刪除】⑷
【已刪除】(5)
【已刪除】(6). Consider the function
Is f(x) continuous at x= 0? Ans.: ____
(7). Let √xy + x
3
y
2
= 20. The slope of the tangent line at (1,4) is____
(8). Consider the function f(x) = x
4
- 8x
2
+ 3 on the interval [1, 2]. Then the absolute maximum is____
(9). The area enclosed by the curves y =x
3
and y = 9x is____
【已刪除】
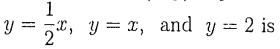
(10). The volume under the surface z 二 f(x,y) 二 y and over the domain D which is the region bounded by curves
____
(a) (15%) Find all critical points,relative extrema, inflection points,and asymptotes.
(b) (5%) Sketch the graph.
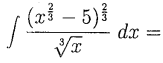
【已刪除】(2). (10%) Evaluate the double integral