所屬科目:奧林匹亞生物
6.小鼠的主要組織相容分子 H-2 與其免疫能力有關,包括細胞的毒殺與抗體的表現等。 實驗中以 LCM 病毒感染兩種品系的小鼠,此兩種小鼠僅 H-2 基因不同(H-2k 及 H-2b), 其他的背景基因則完全相同。感染後,取其脾臟細胞與來自此兩種品系且被 LCM 病 毒感染的細胞(簡稱目標細胞)進行毒殺作用的測定,結果如下表(+:有毒殺作用;-: 無作用)。請問下列哪一項的敘述為正確的? (A)小鼠脾臟細胞的毒殺作用必須經過感染後才能發生 (B)毒殺作用的發生與 LCM 病毒無關 (C)毒殺作用的發生只與 H-2 有關 (D)毒殺作用的發生與 LCM 病毒及 H-2 有關 (E)毒殺作用只發生在病原體感染的小鼠細胞
7. 下列有關溶液中 pH 值的變化,何者最為合理? (A)(B)(C)(D)(E)
11.下列兩表為光與溫度對某植物莖生長之實驗結果,據此,下列的敘述何者正確? (A)莖的生長與光質及溫度有關 (B)莖的生長與夜溫有關,與日溫無關 (C)該植物含有光敏素來調控莖節數 (D)理論上若要促進莖的生長,日溫 30℃夜溫 7℃並搭配遠紅光是最佳的選擇 (E)日溫 30℃夜溫 17℃處理比日溫 23℃夜溫 26℃處理有較高的光合作用及較低的呼 吸作用
16.右圖為某一植物族群之性別與直徑級結構圖,根據此圖,以下推論何者正確? (A)此種植物性別的表現是由性染色體決定 (B)此種植物性別的表現是由一對基因決定 (C)此種植物性別的表現會隨著個體發育的狀況而改變 (D)雄性個體數量較多,係因具有較佳的環境適應能力 (E)性別表現與個體大小之關係,係因雌性個體在生殖上 所需耗費的能量高於雄性個體
21.下圖是左心室收縮 (systole) 與舒張 (diastole) 時主動脈、左心房、左心室的血壓(壓 力) (上半圖) 與左心室的體積 (下半圖) 變化曲線。收縮期包含 2、3 兩個時期; 舒 張期則包含 1、4 兩個時期。 注意: 圖最左方只顯示部分 (時期 1 之後段) 之舒張期。舒張期末體積與收縮期末體 積分別代表舒張與收縮期結束時心室之體積。下列有關心室收縮期的敘述,何者正確? (A)從時期 2 開始,血液注入體循環 (B)從時期 3 開始,血液注入體循環 (C)從時期 3 開始,血液注入肺循環 (D)房室 (僧帽) 瓣在時期 2、3 時都是關閉的 (E)動脈瓣在時期 2 是關閉的;在時期 3 是打開的
29.一生物學家以突變劑誘導分離出四種果蠅翅膀異常的突變品系:1、2、3、4,將這 些突變品系果蠅進行如下表的各組交配實驗,各組第一子代表型為翅膀正常者(即 野生型)以“+”表示,表型為翅膀異常者以“-”表示。根據上述結果判斷,下列敘述何者正確? (A)此實驗設計可用來鑑定會影響翅膀表型的基因數目 (B)上述四種果蠅翅膀異常突變品系是因有四個基因突變造成 (C)突變品系 1 與 2 的點突變是位於相同基因 (D)突變品系 2 與 3 的點突變是位於相同基因 (E)由此實驗結果的數據可以知道這些基因是聯鎖的
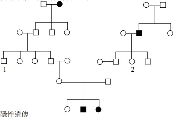
30.下圖為某家族的族譜,實心符號為患有某種稀少腎臟疾病者,○代表女性,□代表 男性。根據下圖判斷,下列敘述何者正確? (A)此疾病為隱性遺傳 (B)此疾病為性聯遺傳 (C)若族譜中第三代的個體 1 與 2 結婚,則他們第一胎生出患有此種稀少腎臟疾病小 孩的機率為 1/2 (D)若族譜中第三代的個體 1 與 2 結婚,則他們第一胎生出患有此種稀少腎臟疾病小 孩的機率為 1/4 (E)若族譜中第三代的個體 1 與 2 結婚,則他們第一胎生出患有此種稀少腎臟疾病小 孩的機率為 1/8
31.右下圖是森林生態系與實驗室中微生態系演替的比較,試問何者正確? (A)兩者演替的基本趨勢是相似的 (B)兩者生物性的變化基本型態是不同的 (C)兩者生物量正逐漸降低 (D)兩者皆為早期的生態系 (E)兩者淨生產量持續減少
32.參考下圖,下列敘述何者正確? (A)高山凍原與熱帶林是因溫度與雨量截然不同而形成的 (B)針葉林與落葉林是因溫度不同而造成的,與雨量無關 (C)草原與熱帶林是因雨量差距而形成,與溫度無關 (D)在針葉林分布區若雨量少時會形成草原 (E)熱帶林的邊緣會出現沙漠