所屬科目:研究所、轉學考(插大)-微積分
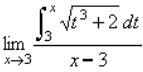
1.(a)=________
(b)=________
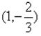
2. The equation of the normal line for x3-xy+3y2=3 at is _________
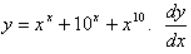
3. Let x2 sin(x2)=, then =_________
4. The directional derivative of f(x,y,z)= at (1,2,-2) in the direction of the path is ________
二、計算題 1. Evaluate .
2. Sketch the graph of f(x)=.
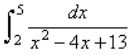
3. Evaluate .
4. Find the length of the curve y= between x=0 and x=1.
5. Find the area bounded by the cardioid(心臟線) r=1-cosθ.
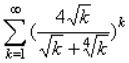
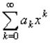
6. Determine whether the series is convergent or divergent.
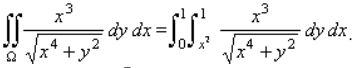
7. Let Sketch the region Ω that gives rise to the repeated integral, and then evaluate it.