所屬科目:研究所、轉學考(插大)-微積分
(1). Find .Ans.__甲__
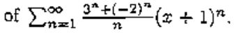
(2). Find the domain of convergence of . (including the end points) Ans. __乙__
(3). Evaluate the surface integral , where S is the hemisphere{(x,y,z)|x2+y2+z2=1,z≥0},oriented upward, and (x,y,z)=(x2sinz,x,(1+z)exy).Ans. __丙__
(1), (12 points) Let f(x, y)= if (x,y)≠(0,0) and f(0,0) = 0. Let = (a,b) be an unit vector. Find the directional derivative Daf(0,0). Is f differentiable at (0,0)? Give your reasons.
(3).(12 points) Evaluate the integral dxdy, where D is the trapezoidal region with vertices (1,0), (2,0), (-1,-1) and (-2,-2).
(4). (10 points) Let f : (-1, 1) → R be a bounded function, ie, there is a M > 0 such that |f(x)|≤ M for all x (-1, 1). Defne g(x)=xf(x) . Isg differentiable at 0? Give your reasons.
(7). (10 points) Apply Green's theorem to find the area of the region enclosed by the curve =1.