所屬科目:研究所、轉學考(插大)-微積分
1. Consider the function definded by f(x) =, f(x) =_______
2. Find =_______
3. Find =_______ , if
4.=_______
5.=_______
6. The point on the ellipse 4x2 + 9y2 = 36, that is nearest the origin is __________
7. The arc of the parabola y=x2 form (1,1) to (2,4) is rotated about the y-axis. Then the area of the resulting surface is ________.
8. The area of the region that consists of all points that lie within the circle r=2cosθ but outside the circle r=1 is ________.
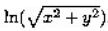
9. If u=, then =________.
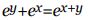
10. =________.
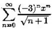
二、計算題1. Find the interval of convergence of the series .
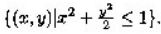
2. Find the maximum and minimum values of f(x,y)=2x2+y2-4x-2y+5 on the closed set S=