所屬科目:研究所、轉學考(插大)-微積分
a. dt
b. x³ ln x dx
c.dx
d. x² sin2xdx
2. (10%) Find the limit.
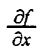
3. (10%) Findand forf(x, y) = sin(t²)dt
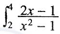
4. (10%) Evaluate the double integral where D is the region bounded by y = ex, y = -ex, x = 0 and x = ln(2).
5. (10%) Evaluate the triple integral where D = {(x, y, z) | 0 ≤ x ≤ 1, 0 ≤ y ≤ x, 0 ≤ z ≤ x + y}.
a. Find the interval I of convergence of the series.
b. Let f(x) = , find f(t) dt .