所屬科目:研究所、轉學考(插大)-微積分
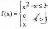
1. Determine the value of c so that f(x) is continuous on the entire real line if.
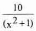
2. Differentiate:.
3. Find all open intervals on which the function isincreasing: f(x) =
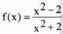
4. Find the absolute minimum and absolute maximum for f(x) = on the interval [-1, 2]
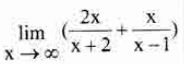
5. Find
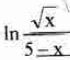
6. Find if y = .
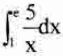
7. Evaluate:
8. Find the distance between the point (1, -2, 3) and the plane 3x - 4y + 2z - 1 = 0.
9. Find the least squares regression quadratic for the points (1, 4), (3, 4), (-1, -3), (7, -1).
10. Determine the convergence or divergence of the following series, and state the test used: