所屬科目:研究所、轉學考(插大)-微積分
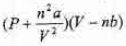
1. The relationship among the pressure P, volume V and temperature T of a gas or liquid is given by van der Waal's equation = nRT for positive constants a, b, n and R. Find the critical point (Tc, Pc, Vc) such that P'(V) = P'(V) = 0.
(a)
(b)
(c)
4.Find the Taylor series for sin x expanded about x =π/2.
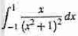
6.Find the volume inside the paraboloid z = 9 - x2 - y2, outside the cylinder x2 + y2 = 4 and above the xy- plane.