所屬科目:研究所、轉學考(插大)-微積分
1. If , then a+b+c=_____
2.=_____
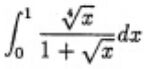
3.=_____
4. Suppose f(x) is a differentiable function on (0,∞) and satisfiesThen f'(4)=_______
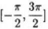
6. The smallest value of the function f(x)= sin x on the interval is________ .
7.1 is the power series expansion of , then a3=________
二、計算與證明題1. Does there exist a differentiable function f : R - R such that f(0) = 0 and f(f(x)) = x4- x for all x ε R? Give reasons for your answer.
2. Let a1= 1 and, for n ≥ 2, let Prove that exists and find the limit.
(1) Prove that a2 ≤ a1≤
(2) Prove that= 0.
4. (1) Compute the area of the region D ={(x,y) /4x2 ≤ y ≤ (4x +1)2+3 and y ≤ 4)}.
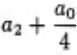
(2) Let be the centroid of D. Find .