所屬科目:研究所、轉學考(插大)-微積分
(a) (10 pts)
(b) (10 pts), where ln indicates the natural logarithm.
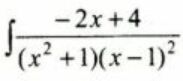
2. (15 pts) Finddx.
3. (15 pts) Evaluate the integralsinθ dθ .
5. (20 pts) Solve the initial value problem: (x + 1)- 2(x2 + xy)y =, x > -1, y(0) = 6
6. (15 pts) Evaluate dy dx, where R is thesemicircular region bounded by the x-axis and the curve y = , |x| ≤ 1.