所屬科目:高中指考◆數學甲
1.平面上有A、B、C三點。已知B、C之間的距離是200公尺,B、A之間的距離是1500公尺, ∠ACB等於60° 。請問A、C之間距離的最佳近似值是哪一個選項? (A) 1500公尺 (B) 1600公尺 (C) 1700公尺 (D) 1800公尺
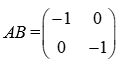
3.A和B是兩個二階方陣,方陣中每一位置的元素都是實數。就二階方陣所對應的平面變換來說,A在平面上的作用是對直線的鏡射,且知。請選出正確的選項。 (說明:A將P點對應到Q點,則L為線段的垂直平分線) (A) AB = BA (B) A + B = 0 (C) B所對應的平面變換是旋轉 (D) A是B的(乘法)反方陣
4.已知不等式1.253✖10845<71000<1.254✖10845成立。請選出正確的選項。(A)log107<0.846 (B)log107>0.845(C)7100<5✖1084(D)710<2✖108
5.n是大於1的整數。坐標平面上兩個橢圓區域共同的部分以An表示。請選出正確的選項。(A) An的面積小於4 (B) An的面積大於π (C)An的周長大於5 (D) 當n趨於無窮大時, An 的面積趨近於4
A.有一四面體OABC,它的一個底面ABC是邊長為4的正三角形,且知 ;如果直線OA與直線BC間的公垂線段長(亦即此兩直線間的距離)是 (以最簡分數表示)。
B.彩票公司每天開獎一次,從1、2、3三個號碼中隨機開出一個。開獎時,如果開出的號碼和前一天相同,就要重開,直到開出與前一天不同的號碼為止。如果在第一天開出的號碼是3,則在第五天開出號碼同樣是3的機率是(以最簡分數表示)。
C.坐標平面上有一個橢圓,已知在(8,4),(9,11),(15,5) 和(16,12) 這四個點中,有兩個是焦點,另外兩個是頂點,則此橢圓的半長軸長度等於 。
D.坐標平面上,當點P=(x,y)在曲線y2+2xy+x2-2x+6y+1=0上變動時,點P到直線x-y+4=0的距離的最小值等於 。