所屬科目:研究所、轉學考(插大)-微積分
1.試敘述的意義。
2.試敘述函數f(x)在點x = a 可微分的意義。
3.試以定義證明:=cosx。
4.定義f(x,y)=,證明=0。
5.寫出的級數展開表達式,其中| x |<1,α為任意實數。
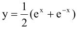
6.求懸繩=cosh(x),在0≤ x ≤a間之弧長。
1. Find the vertical and horizontal asymptotes.
2. Find the intervals of increase or decrease.
3. Find the local maximum and minimum values.
4. Find the intervals of concavity and the inflection points.
5. Use the information from above 1~ 4 to sketch the graph of f.
1. Find the radius of convergence of .
2. Find the sum of this power series.