所屬科目:研究所、轉學考(插大)-微積分
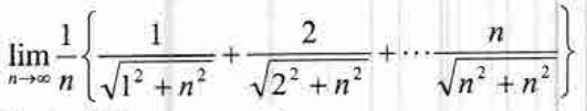
1.Find
[Hint: limit of Riemann sums]
2.(a) Show that If f is continuous on [a,b] and c is any number in [a,b], then the function F(x) = f(t)dt is continuous on [a,b], differentiable on (a,b), and satisfies F'(x) = f(x) for all x in (a,b). (Hint: f(t)dt = f(t)dt + f(t)dt )
(b)f(t)dt = √(3x²+1) - 5 , find f(x).
3. If the circle x²+(y-b)² = a², b>a>0, is rotated around the x-axis, the resulting "doughnut-shaped" solid is called a torus. Find the formula for the volume of the torus.
4. (a)Prove that f(x)dx = f(a-x)dx
(b)By (a), evaluate
(a)Show that it is increasing.
(b)Find the greatest lower bound.
(c)Find the least upper bound.
(a)√(xlnx) = 0
(b)
7.Determine the path of steepest descent along the surface z = x²+3y² from the point (1,1,4) to the point (0,0,0).