阿摩線上測驗
登入
首頁
>
研究所、轉學考(插大)-微積分
>
93年 - 93 國立暨南大學轉學生招生考試試題_微積分_(資工系)#125297
> 申論題
題組內容
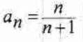
5.The sequence
defined by an =
(a)Show that it is increasing.
相關申論題
1.Find [Hint: limit of Riemann sums]
#532878
2.(a) Show that If f is continuous on [a,b] and c is any number in [a,b], then the function F(x) = f(t)dt is continuous on [a,b], differentiable on (a,b), and satisfies F'(x) = f(x) for all x in (a,b). (Hint: f(t)dt = f(t)dt + f(t)dt )
#532879
(b)f(t)dt = √(3x²+1) - 5 , find f(x).
#532880
3. If the circle x²+(y-b)² = a², b>a>0, is rotated around the x-axis, the resulting "doughnut-shaped" solid is called a torus. Find the formula for the volume of the torus.
#532881
4. (a)Prove that f(x)dx = f(a-x)dx
#532882
(b)By (a), evaluate
#532883
(b)Find the greatest lower bound.
#532885
(c)Find the least upper bound.
#532886
(a)√(xlnx) = 0
#532887
(b)
#532888
相關試卷
114年 - 114 臺灣綜合大學系統_學士班轉學生考試試題:微積分A#137897
114年 · #137897
114年 - 114 臺灣綜合大學系統_學士班轉學生考試試題:微積分B#137819
114年 · #137819
114年 - 114 台灣聯合大學系統_學士班轉學生考試試題:微積分#137762
114年 · #137762
114年 - 114 台灣聯合大學系統_學士班轉學生考試試題:微積分#137761
114年 · #137761
114年 - 114 國立臺灣大學_轉學生招生考試_物理學系/土木工程學系/生物環境系統工程學系/生物機電工程學系:微積分(B)#137745
114年 · #137745
114年 - 114 國立臺灣大學_轉學生招生考試_數學系:微積分(A)#137744
114年 · #137744
113年 - 113 國立嘉義大學_轉學生招生考試試題_(全校):微積分#122986
113年 · #122986
112年 - 112 國立臺灣大學_碩士班招生考試題:微積分(D)#130254
112年 · #130254
112年 - 112 國立陽明交通大學_碩士班入學招生試題_統計學研究所﹕微積分與線性代數#130252
112年 · #130252
112年 - 112 國立嘉義大學_轉學生招生考試試題:微積分#123297
112年 · #123297