所屬科目:研究所、轉學考(插大)-微積分
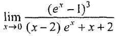
1=_____________
2 =____________
3.P為曲線y=x2上之一點.O為原點.作線段,設Q(0,a)為的垂直平分線相交於軸的點.當P趨近於時,問a趨近於__________
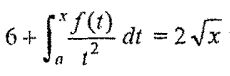
4.設連續函數f(x)滿足則f(x)= _____________,a=______________.
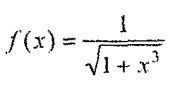
5.,則(6)(0)= _________
6.dx =____________
7. (x2 +y2)dy dx=_____________
9.求f(x,y)=x2y在x2+y2≤1之最大值與最小值.