阿摩線上測驗
登入
首頁
>
輻射防護員◆游離輻射防護專業
> 93年 - 93-1 行政院原子能委員會_輻射防護員:游離輻射防護專業#38991
93年 - 93-1 行政院原子能委員會_輻射防護員:游離輻射防護專業#38991
科目:
輻射防護員◆游離輻射防護專業 |
年份:
93年 |
選擇題數:
0 |
申論題數:
10
試卷資訊
所屬科目:
輻射防護員◆游離輻射防護專業
選擇題 (0)
申論題 (10)
1. 請說明醫用 X 光機為什麼要加濾片?它在輻射防護上的影響為何? (10%)
2.什麼是淨計數率(net counting rate)及其標準差(standard deviation)?如何才能 降低此一標準差? (10%)
3. 何謂直線能量轉移(LET)?為何引進此概念,其取值變化又與何種劑量有 關?(10%)
4. 何謂弱穿輻射(weekly penetrating)與強穿輻射(strongly penetrating)? (10%)
5. 何謂輻射的“直接”和“間接”效應?對每一種效應舉例說明之。(10%)
6. 何謂克馬(kerma, K),它與能通量(energy fluence)的關係為何?(10%)
7. 人體中平均含鉀量為 0.2%,
40
K 在鉀元素的豐度比為 0.0117%,體重 65 公 斤的人身體中含
40
K 的活度為多少?【
40
K: T1/2=1.28×10
9
y,原子量 =39.0983U,A=6.022×10
23
,ln2=0.693】(10%)
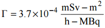
【已刪除】8. 鈷 60 的加馬射線常數比(specific gamma-ray constant)為
。今有一鈷 60 點射源活度為 10 微居里,其外有一厚度 為 1 公分的鉛板(鈷 60 加馬射線在鉛中的半值層為 1.2 公分),試問距離此射 源 2 公尺處的加馬射線劑量率等於多少 mSv/h? (10%)
9. 從
99
Mo 的射源中萃取出 37MBq(1mCi)的 99mTc。一年後將此
99m
Tc 排放至 環境,請問
99m
Tc 的子核
99
Tc 的活度為多少?對環境影響如何?【
99
Mo: T
1/2
=66h;
99m
Tc: T
1/2
=6h;
99
Tc: T
1/2
=2.13×10
5
y】(10%)
10.某放射性同位素半化期為 2 d,進入體液中之活度為 5 ×10
6
Bq,試問在 4 天 末有多少活度保留在該隔室中?又該核種在體液中生物半化期為 0.25d。 (10%)
相關試卷
114年 - 114-2 行政院原子能委員會_輻射防護員:游離輻射防護專業#132416
114年 · #132416
114年 - 114-1 行政院原子能委員會_輻射防護員:游離輻射防護專業#127000
114年 · #127000
113年 - 113-2 行政院原子能委員會_輻射防護員:游離輻射防護專業#124991
113年 · #124991
113年 - 113-1 行政院原子能委員會_輻射防護員:游離輻射防護專業#122512
113年 · #122512
112年 - 112-2 行政院原子能委員會_輻射防護員:游離輻射防護專業#118678
112年 · #118678
112年 - 112-1 行政院原子能委員會_輻射防護員:游離輻射防護專業#114274
112年 · #114274
111年 - 111-2 行政院原子能委員會_輻射防護員:游離輻射防護專業#111458
111年 · #111458
111年 - 111-1 行政院原子能委員會_輻射防護員:游離輻射防護專業#109181
111年 · #109181
110年 - 110-2 行政院原子能委員會_輻射防護員:游離輻射防護專業#103853
110年 · #103853
110年 - 110-1 行政院原子能委員會_輻射防護員:游離輻射防護專業#98725
110年 · #98725