所屬科目:研究所、轉學考(插大)-微積分
1. xsinxdx=________.
2. For the equation y3-xy2+cos(xy)=2 , at the point (0,1) is ______.
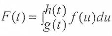
3. Let , where f iscontinuous and g and h are differentiable. Find F'(t)=___________.
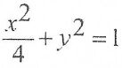
4. The maximum value of f(x,y)=y2-x2 on the ellipseis=_________.
5. dydx= _________.
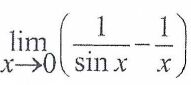
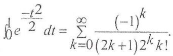
6.=__________.
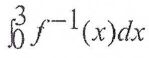
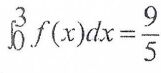
7. Let f :[0,3]→[0,3] be a continuous function with f(0)=0 and f(3)=3. If f is one-to-one and , then=________ ,where f-1 is the inverse function of.
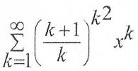
8. The radius of convergence of the power series is___________.
2. Prove that
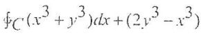
3. Evaluatedy,where C is the unit circle.