阿摩線上測驗
登入
首頁
>
四技二專統測◆數學B
> 94年 - 94 四技二專統測_共同科目:數學(B)#37537
94年 - 94 四技二專統測_共同科目:數學(B)#37537
科目:
四技二專統測◆數學B |
年份:
94年 |
選擇題數:
25 |
申論題數:
0
試卷資訊
所屬科目:
四技二專統測◆數學B
選擇題 (25)
1. 若 x
2
+ x +1除2x
3
+ x
2
+ ax + b 的餘式為− 4x + 5,則a + b =? (A) 1 (B) 3 (C) 4 (D) 7
2. 設 A ( − 4 , 4 ) 與 B (1, −1)為坐標平面上之兩點,若點C 在
,則點C 的坐標為何? (A) ( − 3 , 3 ) (B) ( − 2 , 2 ) (C) ( −1,1) (D) ( 0 , 0 )
3. 下列何者為多項式?
4. 試求 (0.0625)
-1.5
? (A)4 (B) 16 (C)64 (D) 128
5. 設「⋅」表示四則運算中的乘號,若2
2 x+1
+ 2
3x
= 5 ⋅ 2
x+4
,試求 x =? (A) 0 (B) 1 (C) 2 (D) 3
6. 設 f (x ) = ax
2
+ bx + c , g(x) = 2x
2
+ 3x + 3,h(x) = − 2x
2
+ cx − b 為三個多項式,且 均為a , b , c實數,若已知
f (x) − g (x) = h(x),則下列何者為二次多項式? (A) f (x ) + h(x) (B) g(x)+ h(x) (C) f (x ) + g(x ) + h(x) (D) f (x) + b[ g(x) ( + h (x)]
7. 下列哪個函數 f (x)具有「對於任意兩正實數 a 及 b , f (ab) = f (a)+ f (b)均成立」的 性質? (A) f (x ) = 3x + 4 (B)f (x)=5
x
(C)f (x) = cos(π x) (D) f (x) = log x
8. 試求
? (A) − 2 (B) −1 (C) 1 (D) 2
9. 設θ 為實數,若 tanθ =5/12 且sinθ < 0 ,則sinθ − cosθ =? (A) −12/13 (B) −7/13 (C) 7/13 (D) 12/13
10. 設θ 為實數,若 sinθ + cosθ = 3 /√5 ,則tanθ + cotθ = ? (A) 5/2 (B) 5/4 (C) 4/5 (D) 2/5
11. 在∆ ABC 中,設 a , b , c 分別為∠ A, ∠ B , ∠C 的對邊長。若a − 2b + c = 0 且3a + b − 2c = 0, 則下列何者正確? (A) ∠ A > ∠ B > ∠C (B) ∠ B > ∠C > ∠ A (C) ∠C > ∠ B > ∠ A (D) ∠C > ∠ A > ∠ B
12. 設a , b , c , d 四正數成等比數列,若 ab =cd/81 ,則此數列的公比為何? (A) 2 (B) 3 (C) 9 (D) 81
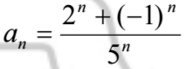
13. 設
為一無窮數列,若
,則
? (A) 1/5 B) 1/2 (C) 2/3 (D) 5/6
14. 設 L
1
: 2x + y = 1,L
2
: x − ay = 2,L
3
: 2x − y = 3,L
4
: bx + 4y = 4為四直線,其中 a 與b 均為實數。若 L
1
與L
2
平行,且 L
3
與L
4
平行,則 ab =? (A) 4 (B) 3 (C) 2 (D) 1
15. 兩平行線5x −12 y = 14 與− 5x +12 y = 38之間的距離為何? (A) 4 (B) 13 (C) 24 (D) 52
16. 若 A(6 , 3 )與B(−4 , 5)為坐標平面上之兩點,則通過
線段中點,且與直線3x + 5y − 29 = 0 垂直的直線方程式為何? (A) 5x + 3y −17 = 0 (B) 5x + 3y + 7 = 0 (C) 5x − 3y −17 = 0 (D) 5x − 3y + 7 = 0
17. 若不等式 ax
2
+ bx + c < 0之解為1 < x < 2,則不等式 bx
2
+ cx + a ≥0 的整數解有幾個? (A)1 (B)2 (C) 3 (D) 4
18. 在坐標平面上,滿足不等式組5x + 2y ≤180 ,x + y ≤ 45,x ≥ 0 ,y ≥ 0 的區域面積為何? (A)270 (B)675 (C) 945 (D) 1620
19. 在坐標平面上,若不計單位,一圓之面積為圓周長2 倍,則此圓半徑為何? (A)2 (B)4 (C)6 (D) 8
20. 某排球隊共有10位選手,任選 6位上場比賽,共有幾種不同選法? (A) 64 (B) 105 (C) 128 (D) 210
21. 將10個相同的棒球全部放入 3個不同箱子中,若每箱球數不限,則共有多少種不同 放法? (A) 55 (B) 66 (C) 220 (D) 286
22. 設
分別表示從 n個相異物任取 m個的排列數與組合數,若
, 則 n =? (A)4 (B) 5 (C)6 (D) 7
23. 在( 2x − y
2
)
6
的展開式中, x
4
y
4
項的係數為何? (A)240 (B) 260 (C)280 (D) 300
24. 投擲兩枚公正的骰子,出現點數和為7 的機率為何? (A) 5/36 (B) 6/36 (C) 7/36 (D) 8/36
25. 設某班男女學生人數相等,已知男生中的 30 % 與女生中的 20 % 戴眼鏡;若從該班戴 眼鏡的學生中任意抽取一人,則此人為男生的機率為何?
(A) 1/2 (B) 2/3 (C) 3/4 (D) 3/5
申論題 (0)