阿摩線上測驗
登入
首頁
>
統測◆(一)統計學概論
> 94年 - 94 四技二專統測_工程與管理類管理組_專業科目(一):統計學概論#20557
94年 - 94 四技二專統測_工程與管理類管理組_專業科目(一):統計學概論#20557
科目:
統測◆(一)統計學概論 |
年份:
94年 |
選擇題數:
20 |
申論題數:
0
試卷資訊
所屬科目:
統測◆(一)統計學概論
選擇題 (20)
21. 下列選項何者係將已知資料予以統計分析後,用數字、圖、表或模式陳示出來,並解釋 此一資料所表現出來的特徵與結論? (A) 敘述統計 (B) 推論統計 (C) 無母數統計 (D) 資料統計
22. 某量販店聲稱所售土雞每隻重量都超過 2 公斤。消費者文教基金會接獲民眾檢舉此一廣告 不實,該會即進行調查,抽查該量販店所售土雞四十隻,假設四十隻土雞的重量平均數為
,
的意義為: (A) 樣本 (B) 統計量 (C) 母數 (D) 母體
23. 根據醫學研究報告,心臟病發生率會隨年齡增長而逐漸提高。若將國民依年齡高低呈現 心臟病患人數,其次數分配類型為: (A) 單峰對稱分配 (B) 單峰偏斜分配 (C) J 型分配 (D) U 型分配
24. 雲林縣警察局為拼治安,每天晚上十點鐘起在中山高速公路斗南收費站攔檢車輛,每通過 100 輛小客車攔檢一輛,直到隔日凌晨兩點止,此一攔檢屬於: (A) 分層抽樣法 (B) 集體抽樣法 (C) 立意抽樣法 (D) 系統抽樣法
25. 張三期中考統計成績為 65 分,老師誤植為 75 分,則相對誤差為多少? (A) 10 分 (B) 負 10 分 (C) 15.38% (D) 13.33%
26. 在單峰微偏分配中,已知平均數
= 90.8,眾數M0 = 87.5,依皮爾森經驗法則,中位數 Me約為: (A) 86.7 (B) 88.7 (C) 89.7 (D) 90.7
27. 設一數列各數值為X
1
,X
2
,…,X
n
,其幾何平均數為G
X
,另一數列各數值為Y
1
,Y
2
,…,Y
n
, 其幾何平均數為G
Y
,則X
1
/ Y
1
,X
2
/Y
2
,…, X
n
/Y
n
之幾何平均數為: (A)
(B)
(C) G
X
+ G
Y
(D) G
X
– G
Y
28. 某校國際貿易科有甲乙兩班,甲班學生 50 人,乙班學生 45 人,全部參加英文測驗,甲班 平均成績 62 分,乙班平均成績 70 分,則全部平均成績約為: (A) 64.79 分 (B) 65.79 分 (C) 66.79 分 (D) 67.79 分
29. 代表一群資料集中趨勢或中心數值的各種平均數中,下列何者不受兩邊極端值的影響? (A) 算術平均數 (B) 幾何平均數 (C) 中位數 (D) 調和平均數
30. 500 名淑女的平均體重為 45 公斤,標準差為 5 公斤;50 位初生女嬰的平均體重為 3 公斤, 標準差為 0.6 公斤,何者差異較大? (A) 初生女嬰體重差異較大 (B) 淑女體重差異較大 (C) 兩者體重差異一樣大 (D) 無法比較
31. 設某班英文平時考試成績為X
1
,X
2
,…,X
n
,其平均數與變異數分別為
與S
2
,英文老師 認為題目太難,每人都加 5 分,其平均數與變異數將改變為: (A)
,S
2
(B)
+5,S
2
(C)
,25S
2
(D)
+5,S
2
+5
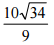
32. 若一母體包含 30,40,50,60,70,80,60,90,60 九個數值,則此母體標準差為: (A)
(B)
(C)
(D)
33. 設計優良的圖表勝過千言萬語,但統計圖表的繪製仍有一定規則,一般而言,次數分配圖中 橫座標表示: (A) 出現機率 (B) 出現次數 (C) 出現累積次數 (D) 欲探討的變數
34. 設Y = 5X + 4,而X的標準差SX = 5,則Y的標準差SY值為: (A) 25 (B) 20 (C) 15 (D) 5
35. 下列相關係數 r 與迴歸係數 b 的敘述,何者錯誤? (A) 相關係數 r 與迴歸係數 b 正負號相同 (B) 相關係數主要在衡量兩變數之間之直線關係 (C) –1 r 1 (D) r 必定小於 b ≤ ≤
36. 設標準常態分配之平均數為µ ,標準差為σ ,則: (A) µ = 0,σ = 0 (B) µ = 0,σ = 1 (C) µ = 1,σ = 0 (D) µ = 1,σ = 1
37. 某次大學入學考試 10 萬人報考,成績呈常態分配,平均成績為 60 分,標準差 5 分。張生 成績優異,立志考取國立大學,假設國立大學錄取率須在成績排名前 5%內,則張生平均 成績最低要考幾分才能如願? [ 已知 P ( z < 1.645 ) = 0.95 ] (A) 68.225 分 (B) 78.225 分 (C) 88.225 分 (D) 70.225 分
38. 某校高一學生 1,500 人,第一次月考數學成績合於常態分配,其平均成績為 68 分,標準差 8 分, 請問分數在 80 分以上者約有幾人? [ 已知 P ( 0 < z < 1.5 ) = 0.4332 ] (A) 81 人 (B) 91 人 (C) 101 人 (D) 111 人
39. 設 X 呈常態分配,其平均數為µ x ,變異數為 400,已知 P ( X > Q ) = 0.5,則 Q 值為: (A) µ x + 20 (B) µ x – 20 (C) µ x (D) µ x – 400
40. 下列那一項調查不屬於「基本國勢調查」? (A) 戶口及住宅普查 (B) 農林漁牧業普查 (C) 國富調查 (D) 製造業投資意願調查
申論題 (0)
相關試卷
96年 - 96 四技二專統測_工程與管理類管理組_專業科目(一):統計學概論#20549
96年 · #20549
95年 - 95 四技二專統測_工程與管理類管理組_專業科目(一):統計學概論#20550
95年 · #20550
93年 - 93 四技二專統測_工程與管理類管理組_專業科目(一):統計學概論#20561
93年 · #20561
92年 - 92 四技二專統測_工程與管理類管理組_專業科目(一):統計學概論#20571
92年 · #20571
91年 - 91 四技二專統測_工程與管理類管理組_專業科目(一):統計學概論#20572
91年 · #20572
90年 - 90 四技二專統測_工程與管理類管理組_專業科目(一):統計學概論#20573
90年 · #20573