所屬科目:研究所、轉學考(插大)-微積分
1. 若函數f(x)=,g(x)=,則合成函數f'g為何?其定義域如何? 又f'g(0)=?
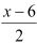
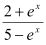
2. 求函數f(x)=的反函數。並寫出其定義域。
3. 『若 ,則』。以上敘述是否成立,若成立請證明之;若不成立,請舉一個反例。
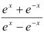
4. 請問coth(x)= ,是遞增函數或是遞減函數?請說明其理由。 ※需寫理由才給分※
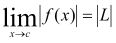
5. 『若收斂, 則收斂』。以上敘述是否成立,若成立請證明之; 若不成立,請舉一個反例。
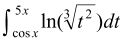
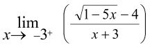
6. 試求
7.y= , 試求
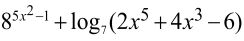
8. 如果F(x)=,則F'(x)=
9. Find the average values of h(x)=3x2+x-2 on [0 ,2]
10.=?