所屬科目:研究所、轉學考(插大)-微積分
(c) ∫dx
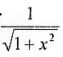
(a) Show that.
(b) Use (a) to evaluate the improper integraldx.
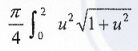
(4) Show that the area of the surface generated by revolving the curve y = x², 0 ≤ x ≤ 1 is given by du.
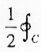
(5) Let R be the region in the plane bounded by a continuously differentiable simple closed curve C. Show that the area of R is given byxdy - ydx.
(a)
(b)
(c)
(7) Let f: [a, b] → R be a continuous function. Show that there exists c ∈ [a, b] such that f(x) dx = f(c)(b - a).