所屬科目:研究所、轉學考(插大)-微積分
(a)
(b)
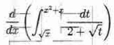
2) (a) Calculate the derivative
(b) Let f be continuous, Calculate the derivative
(a) Prove that has a strict maximum at x = 0 (i.e. f(0) > f(x) for all x ≠ 0).
(b) Prove that f(x) is differentiable on R.
(c) Prove that f(x) is not increasing on the interval (-ε, 0) and f(x) is not decreasing on the interval (0, ε) for any ε > 0.
(a) Find the area bounded by f(x) and the x-axis.
(b) Find the volume of the solid generated by revolving the region in part (a) around the x-axis.
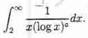
5) Let a > 0. Give a definition of the following improper Riemann integral asa limit of Riemann integrals:For what values of a does this integral converge.
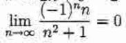
6) Let x ∈ R, find the interval of convergence of the following power series:
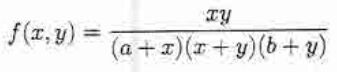
7) Given that 0 < a < b, find the absolute maximum value taken on by the functionon the open square {(x,y): a<x<b,a <y<b}.