題組內容
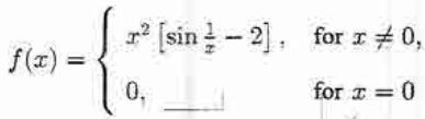
3) (20 pts) Define f: R → R by
.
(c) Prove that f(x) is not increasing on the interval (-ε, 0) and f(x) is not decreasing on the interval (0, ε) for any ε > 0.
3) (20 pts) Define f: R → R by
.
(c) Prove that f(x) is not increasing on the interval (-ε, 0) and f(x) is not decreasing on the interval (0, ε) for any ε > 0.