所屬科目:研究所、轉學考(插大)-微積分
1.求極限值。
2.假設f(x)=xn與 ,求n的值。
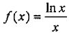
3.求函數 的最大值。
4.設,求A與B使得為一個連續函數。
5.求定積分 dx。
6.求瑕積分 。
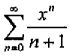
7.求冪級數 的收歛區間。
8.判別無窮級數 的收歛或發散。
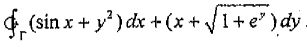
9.線積積分,其中Γ為由y=0,x=1, y=x2所組成的逆時針方向之封閉路徑。
10.求f(x,y,z)=x3ey+xz,在(1,2,3)點且在方向的方向導數。
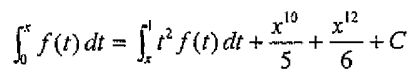
1.假設f為定義在實數系R上的連續函數,,滿足其中C為常數・試求f(x)與C。
2.設 D為由柱面x2+y2=4、平面x+z=6與x平所成的立體。求向量場流出D的通量(fIux)。