所屬科目:研究所、轉學考(插大)-微積分
1.=_______
3.f(x)=,則=________
4. f(x)=,g(x)為其反函數,則g'(18)=_________
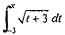
5.=________
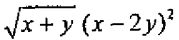
6.設(x,y)滿足=27,則在點(7,2)的切線方程式為________
8.D:在第一掛限内,曲線y2=x,y=,y=π和x=0所圍封閉區域,問=_________
9.在注射x(單位:毫克)劑量的副腎素t小時後其反應為R單位,設R(x,t)=.其中c為正的常數,若能使R(x,t)有最大值,問=_________