所屬科目:研究所、轉學考(插大)-微積分
(a) [(x² + 1)⁴] = ?
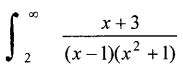
(c)= ?
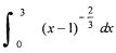
(d) dx = ?
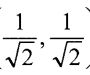
3. Find the equation of the tangent line to the graph given by x²(x² + y²) = y² at the point (). (10 分)
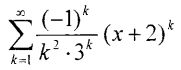
5. Find the interval of convergence of the series. (10 分)
6. Prove that if converges absolutely then it converges. Is the converse true? Show it or give a counterexample. (12 分)