阿摩線上測驗
登入
首頁
>
電路學
> 94年 - 94-2 地方政府特種考試_三等_電力工程、電子工程:電路學#36579
94年 - 94-2 地方政府特種考試_三等_電力工程、電子工程:電路學#36579
科目:
電路學 |
年份:
94年 |
選擇題數:
0 |
申論題數:
10
試卷資訊
所屬科目:
電路學
選擇題 (0)
申論題 (10)
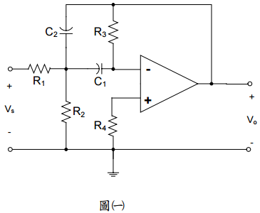
【已刪除】一、圖(一)所示為理想運算放大器之帶通濾波器,試證其電壓轉移函數為以下形式
,以電路元件表示α、ω
0
及 A。(20 分)
【已刪除】⑴計算下列電路之轉移函數
。 (5 分)
⑵求出│ H( jω)│ 。 (5 分)
⑶求出 ∠H( jω)。 (5 分)
⑷當 │H( jω) │為常數時,R、L 和 C 必須滿足何種關係?(5 分)
⑴ v
1
(t) 之值(10 分)
⑵ v
2
(t) 之值。(10 分)
【已刪除】四、如圖(四)所示,為一理想運算放大器,假設v
C
(0
-
) = 2 V v
1
= 5u(t) V 且 ,當 t ≥ 0時,求出 v
o
。(20 分)
⑴線電流的均方根值為何?(10 分)
⑵對一個吸收相同複數功率的Δ-連結負載而言,其線間阻抗值為何?(10 分)