所屬科目:研究所、轉學考(插大)-微積分
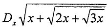
1.=________
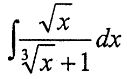
2.=________
3.=________
4.=________
5.=________
6.=________
7.=________
8.=________
9.=________
11. The interval of convergence of the power seriesis _________
12.= _________
13.Assume that a and b are constants(常數)and Then a+b= _________
14.Let R be the region bounded by the curve whose equation in polar coordinates is r =1+cosθ and the lines θ=0 and θ=.Then the area of R is ________
15.Let g(x)=x2 lnx.1f g(x)=,then =________
17.Let D betheregion bounded by x-y=0, x-y=π, x+2y=0, . Then =________