所屬科目:研究所、轉學考(插大)-微積分
(a)
(b)
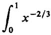
3. Compure the improper inegal In x dx.
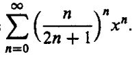
4. Find the radius of convergence of the infinite series
5. Let f be a real valued function defined on R with f"(x) > 0 for all x. Show that
f(x)≥f'(0)x+ f(0) for all x.
6 Compuce the iceraced inegal sin(x2+ y2)dydx.
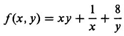
7. Find the local extreme values of the functionfor xy≠0.
9. Find the area of the region Ωbounded by the curves x2 - 4xy + 4y2 -2x -y-1 = 0 and y= .