所屬科目:研究所、轉學考(插大)-微積分
The following problems may be answered in Chinese or English. You need to give all details in order to receive any credit (point).
1. Show that f(x) = L iff [f(x)-L] = 0
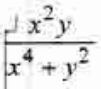
2. Show that the function g(x,y)= has limiting value 0 as (x,y)→(0,0) along any line through the origin, but lim still does not exist.
3. Definition: If z is irrational, then by eᶻ we mean the unique number which has logarithm z, i.e. ln = z. Prove ˣ for all real x.
4. A rod of length L is placed on the x-axis from x=0 to x=L. Find the mass of the rod and the center of mass if the density of the rod varies directly as the distance from the x=0 endpoint of the rod.
5. Find the volume of the solid generated by revolving the region between y = √x, 0≤x≤1 and y= x², 0 ≤ x ≤ 1, around the line x = -2.
6. (a) Show that diverges (Hint: by ratio test)
(b) Let r be a positive number. For what values of r (if any) does converge? (Hint: by root test) (Hint: a. ∀ real x, →1 as n→∞.)
(a) Find the gradient ∇f(x,y), where f(x,y) = x2+y2.
(b) At the point (1, 2, 5), in what direction does f increase most rapidly? What is the magnitude of its speed?
(c) Find the directional derivative of the function f at the point (1, 2) in the direction of the vector 2i-3j.
(d) Determine the path of steepest descent along the surface z=x2+y2 from the point (1, 2, 5).
(e) Determine the level curve of f that passes through the point (1, 2).
(f) Show that the gradient vector ∇f(1, 2) is perpendicular to the level curve of f that passes through the point (1, 2).