所屬科目:研究所、轉學考(插大)-微積分
1. 以下是某生利用 the L'Hopital's Rule 計算極限的過程,顯然他犯了一些錯誤,請你指出錯誤的地方
a) f(x) =
b) g(x) = sin(lnx)。
3. 試求常數 a 的值,使極限存在,並求此極限。
a. 求 (x,y) 沿 x=y 直線趨近 (0,0) 時 f(x,y) 之極限。
b. 求 (x,y) 沿 x 軸趨近 (0,0) 時 f(x,y) 之極限。
c. 能否定義 f(0,0) 使得 f 在 (0,0) 連續?
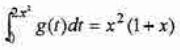
5. 若 f 、 g 都是連續函數,而且對所有 x ≧ 0 試求 g(2) 之值。
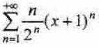
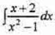
a. ∫ln xdx
b.
a.
8. 求下列函數在 1 的 Taylor 級數f(x) = eˣ
9. 求下列冪級數的收斂半徑和收斂區間f(x) =