所屬科目:研究所、轉學考(插大)-微積分
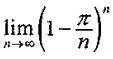
1.求極限值。
2.假設函數f定義為:f(0)=0,並且當x≠0時,f(x)=x+x2sin,求一階導數f'(0)。
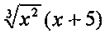
3.求函數f(x)=,極大值與極小值。
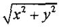
4.設f(x)=,求f(x)。
5.判別無窮級數收歛或發散。
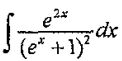
6.求不定積分。
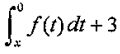
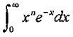
7.求瑕積分。
9.求逐次積分。
10.在圓錐面z=之上方與球面x2+y2+z2=1之下方所圍成的立體領域,求它的體積。