所屬科目:研究所、轉學考(插大)-微積分
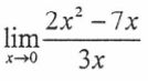
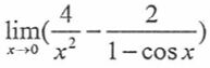
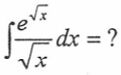
(a)
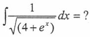
(b)
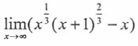
(c)
(d)
(e)
2. (a) Find the curve of r = 4cosθ
(b) Find the area bounded by the graphs of x2 + y2 =4and r=4cosθ
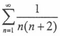
4. Determine seriesis Convergence or Divergence ? give your reason. And, if series is convergence, find the sum of this infinite series.