阿摩線上測驗
登入
首頁
>
有機化學
> 95年 - 95 身心障礙特種考試_四等_化學工程:有機化學概要#42339
95年 - 95 身心障礙特種考試_四等_化學工程:有機化學概要#42339
科目:
有機化學 |
年份:
95年 |
選擇題數:
25 |
申論題數:
25
試卷資訊
所屬科目:
有機化學
選擇題 (25)
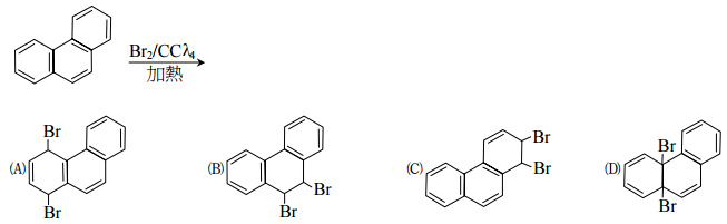
1 下列何者之極性最高?
2 一般常被用來當作高溫焊接的燃料是乙炔而不採用乙稀或乙烷,下列有關前述三者的燃燒熱之敘述 何者正確? (A)每莫耳的乙炔燃燒放出最多熱量 (B)每莫耳的乙烯燃燒放出最多熱量 (C)每莫耳的乙烷燃燒放出最少熱量 (D)每莫耳乙炔燃燒時消耗的氧氣量最少
3 下列化合物中何者對紫外可見光線之吸收波長最長?
4 下列烯類中何者具最大的莫耳氫化熱(Heat of Hydrogenation)?
5 與烯類進行[4+2]環加成反應,下列化合物中何者之反應性最佳?
6 下列那一組試劑最適合用於合成下列化合物?
(CH
3
)
3
C-O-C
2
H
5
(A) t-C
4
H
9
O
-
Na
+
+C
2
H
5
I
(B) C
2
H
5
O
-
Na
+
+t-C
4
H
9
Br
(C) C
2
H
5
O
-
Na
+
+t-C
4
H
9
I
(D) C
5
H
5
-
Li
+
+t-C
4
H
9
OTs
7 下列化合物之一在紅外光譜有一 3293cm
-1
寬吸收峰,且碳核磁共振光譜(
13
C NMR)有三條共振訊 號峰,而其中在最低磁場之訊號強度為最小,其結構式應為下列何者?
8 請由大至小,依次序排列下列各氧陰離子之鹼性大小:
(A)甲>乙>丙>丁 (B)乙>丙>丁>甲 (C)甲>丁>丙>乙 (D)丁>丙>乙>甲
9 下列反應的主要產物為下列何者?
10 下列化合物何者在鹼性條件下(HO-/H2O/加熱)可進行自身氧化還原反應?
(A) C
6
H
5
CH
2
CHO
(B) C
6
H
5
CHO
(C) CH
3
CH=CHCH
3
(D)(CH
3
)
2
C=O
11 選出下列反應的主要產物:
12 下列羰基化合物,何者主要以烯醇(Enol form)的結構存在?
13 下列反應式中,何者屬於親核性取代反應?
14 “尿素"的結構是下列何者?
15 依據混成(hybridization)的概念,
C
H
2
=
C
=O 中畫線原子,依序分別屬何種混成? (A) sp
3
, sp
2
(B) sp
3
, sp (C) sp
2
, sp
2
(D) sp
2
, sp
16 下列所示產物 A 的構造為下列何者?
(A) HOCH
2
(CH
2
)
4
CH
2
OH
(B) HOCH
2
(CH
2
)
4
CHO
(C) H
5
C
2
O
2
C(CH
2
)
4
CH
2
OH
(D) H
5
C
2
O
2
C(CH
2
)
4
CHO
17 何者為下列反應之主產物?
18 下列反應最可能經由何種反應機構完成?
(A)加成-脫去反應(addition-elimination) (B)脫去-加成反應(elimination-addition) (C)親電性取代反應(electrophilic substitution) (D)單分子親核性取代反應(unimolecular nucleophilic substitution)
19 依照國際標準命名規則(IUPAC),何者為下列構造式之正確名稱?
(A) 1, 9-二溴蒽 (B) 1, 5-二溴蒽 (C) 4, 10-二溴蒽 (D) 1, 10-二溴蒽
20 下列化合物中何者最不容易進行親電性取代反應(electrophilic substitution)?
21 下列化合物,何者最容易進行環上的硝化反應?
22 下列化合物,何者是吡嗪(pyrazine)?
23 蛋白質的二級結構是由下列那一項所形成? (A)胜肽鍵結 (B)酸鹼交互作用 (C)氫鍵的生成 (D)雙硫鍵結
24 下面何種醣是 L 型的?
25 組成耐綸 6(Nylon 6)的單體(monomer)是下列何者?
申論題 (25)
【已刪除】1
【已刪除】2
【已刪除】3
【已刪除】4
【已刪除】5
【已刪除】6
【已刪除】7
【已刪除】8
【已刪除】9
【已刪除】10
A
B
C
D
E
A
B
C
D
E
A
B
C
D
E
相關試卷
114年 - 114 公務升官等考試_薦任_化學工程:有機化學#133257
114年 · #133257
114年 - 114 調查特種考試_三等_化學鑑識組、醫學鑑識組:有機化學#129586
114年 · #129586
114年 - 114 一般警察特種考試_二等_刑事鑑識人員材料及化學物品鑑析組:有機化學#127790
114年 · #127790
114年 - 114 關務特種考試_三等_化學工程(選試英文):有機化學#126661
114年 · #126661
114年 - 114 關務特種考試_四等_化學工程(選試英文):有機化學概要#126655
114年 · #126655
113年 - 113 調查特種考試_三等_化學鑑識組、醫學鑑識組:有機化學#122084
113年 · #122084
113年 - 113 關務特種考試_三等_化學工程(選試英文):有機化學#119488
113年 · #119488
113年 - 113 關務特種考試_四等_化學工程(選試英文)、化學工程(選試日文):有機化學概要#119484
113年 · #119484
112年 - 112 地方政府特種考試_四等_化學工程:有機化學概要#118363
112年 · #118363
112年 - 112 地方政府特種考試_三等_化學工程:有機化學#118140
112年 · #118140