所屬科目:研究所、轉學考(插大)-微積分
1. COS (Tan-1) =_______.
2.tan x =_______
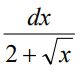
3. If f(x) = , for x∈R , then f'(1) =_______.
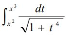
4. ∫ =_______.
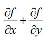
5. =_________.
6. The point on the curve y = x² that is closest to the point (18, 0) is________.
7. The area of the region outside the cardioid r = 1 + cosθ and inside the circle r =sinθ is________.
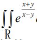
8. ex+y dydx =_______.
9. sin(y²)dydx =___________.
10. If f(x, y) = (sin x)y, then =__________.
1. Find the radius and interval of convergence for the series .
2. Find all relative extrema and saddle points of f(x, y) = x² + y⁴ – 4xy + 1.
3. Find the integraldA , where R is the trapezoidal region with vertices (1, 0), (2, 0), (0, −2), and (0, −1).