所屬科目:研究所、轉學考(插大)-微積分
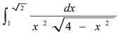
1. =________
2. =________
3. If f(x) =, for x ∈ R, then f'(1) =________
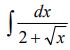
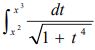
4.=________
5.=________
6. The point on the curve y = x2 that is closest to the point (18, 0) is ________.
7. The area of the region outside the cardioid r = 1 + cosθ and inside the circle r = is ________
8.=________
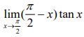
9.=________
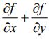
10. If f(x,y) =, then =________
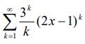
二、計算題: 1. Find the radius and interval of convergence for the series .
2. Find all relative extrema and saddle points of f(x, y) = x2 + y4 – 4xy + 1.
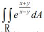
3. Find the integral , where R is the trapezoidal region with vertices (1, 0), (2, 0), (0, -2), and (0, -1).