所屬科目:研究所、轉學考(插大)-微積分
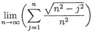
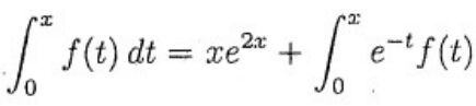
1. If f is a continuous function such that dt for all s, Aad an explicit formula for f(x).
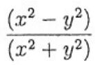
2. In what direction is the derivative of f(x, y) =at P(1,1) equal to zero?
4. Suppose that f(0) = -3 and f'(x) ≤5 for all values of x. How large can f(2) possibly be?
5. Find the tangent plane of the surface cos πx - x2y+ exz + yz = 4 at the point P0(0, 1, 2).
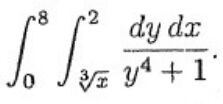
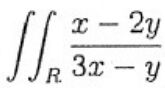
6. Evaluate dA, where R is the parallelogram enclosed by the lines x - 2y = 0, x-2y=4,3x-y=1 and 3x -y = 8.
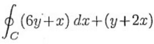
8. Evaluate the integraldy along the circle C : (x-2)2+(y-3)2= 4.
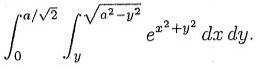
(a)
(b)
(a) Test the series for convergence or divergence.
(b) Let . Find the intervals of convergence for f' and f".