所屬科目:研究所、轉學考(插大)-微積分
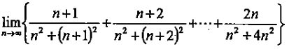
1. 求
2.已知 y+cos(xy2)+3x2=4,求在點(1,0)之值
3.P(1,1)為曲線Γ:x+x3-y3-y5=0上一點,求過P點的切線方程式。
4.已知f(x)=計算f'(x)
5.計算∫cos(ln x)dx
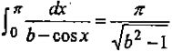
6. 已知,其中b>1,計算
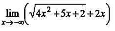
7. 求
8.已知;求(a)及(b)
10.