所屬科目:研究所、轉學考(插大)-微積分
2.若F(x)=,則F''(1)=_________
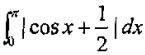
3.=_________
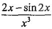
4.函數y=在(2,2)的切線方程式為_______
5.當x≠0時,時f(x)=;x=0時,,問f'(0)=_______.
6.設+2z2=1,且z為x,y的函數,則在點(0,-1,1)的為_______
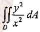
8.若D落在第一象限且由xy=1,y=x,和y=2所圍成的區域,則=_______
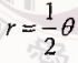
9.在極座標系統內,r=θ,和所圍成區域的面積為_______