所屬科目:研究所、轉學考(插大)-微積分
(a)
(b)
(c)
(d)
(e)
(a) y=cos4(1-2x)
(a) Find the volume of the solid generated by revolving the region between the y-axis and the curvex= , 1≤y≤4 , about the y-axis.
(b) The region in the first quadrant enclosed by the parabolay=x2, the y-axis and the line y=1 is revolved about the line to generate a solid. Find the volume of the solid.
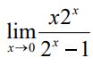
(a) Evaluate .
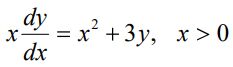
(b) Solve the equation given the initial condition y(1)=2.
(a)∫x2ex dx
(a) Express ∫sin(x2)dx as a power series.
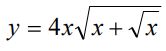
(b) Find.
9. Find the area of the region that lies inside the circle r=1 and outside the cardioid r=1- cosθ .